Free Access

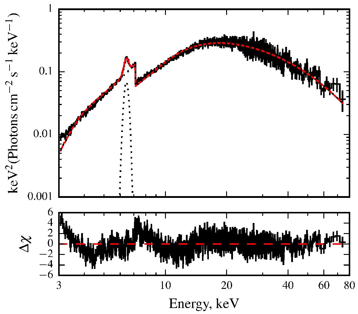
Fig. 12

image

Unfolded NuSTAR spectra of GK Per. The model spectrum was computed for fixed M/M = 0.86. Other parameters found are Rm/R ≈ 2.3 and NH,1 ≈ 1.7 × 1023 cm-2 . The obtained partial covering parameters are NH,2 ≈ 1.24 × 1024 cm-2 and covering fraction CF ≈ 0.82 and .

Current usage metrics show cumulative count of Article Views (full-text article views including HTML views, PDF and ePub downloads, according to the available data) and Abstracts Views on Vision4Press platform.

Data correspond to usage on the plateform after 2015. The current usage metrics is available 48-96 hours after online publication and is updated daily on week days.

Initial download of the metrics may take a while.