Free Access

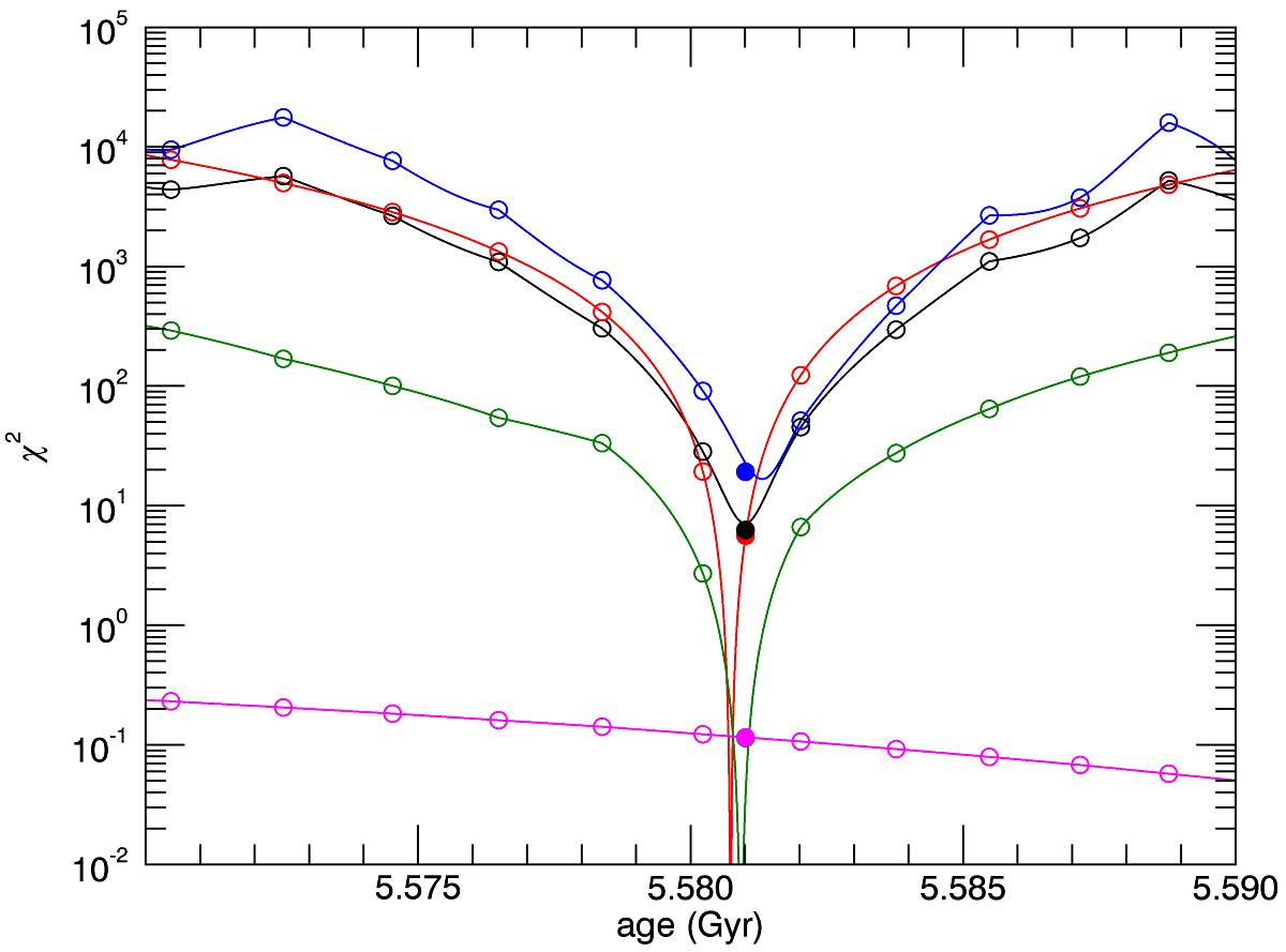
Fig. 1

image

Values of χ2 as function of age for an evolutionary sequence with stellar parameters that match those of KIC 003744043 within errors (letter A in Tables 1 and 2). The black open circles are computed values for models and frequencies, whereas the continuous black line corresponds to parameters and frequencies interpolated to intermediate ages. The filled black circle is the χ2 value derived from the best-fit model explicitly computed at the end of the procedure to exactly match the interpolated age. Also shown are values of (blue), (red), (green), and (magenta). Here the solid lines and the full and open circles have the same meaning as before.

Current usage metrics show cumulative count of Article Views (full-text article views including HTML views, PDF and ePub downloads, according to the available data) and Abstracts Views on Vision4Press platform.

Data correspond to usage on the plateform after 2015. The current usage metrics is available 48-96 hours after online publication and is updated daily on week days.

Initial download of the metrics may take a while.