Free Access

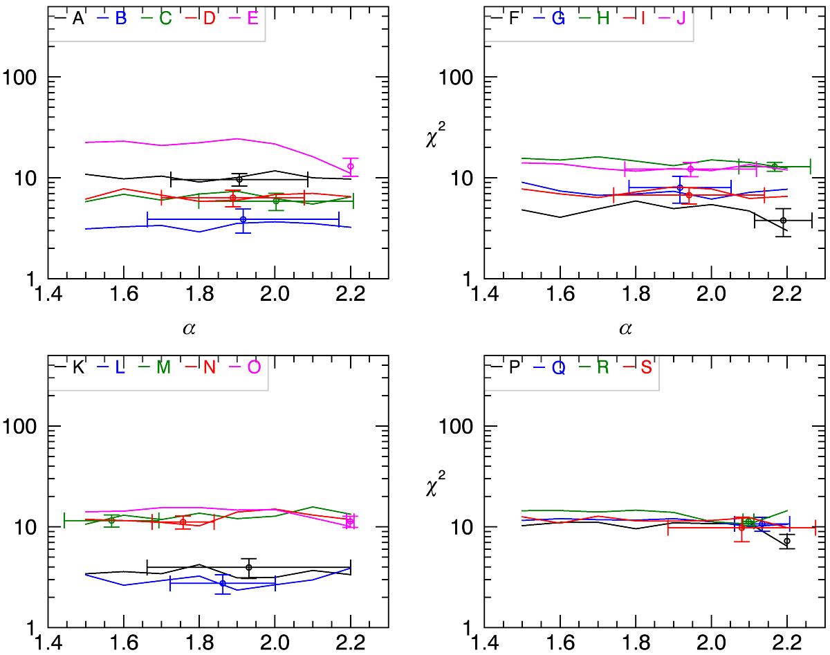
Fig. 8

image

Minimum values of χ2 corresponding to every α for all the stars. Points with error bars correspond to χ2 values with 1σ uncertainties. The letters indicated in the legend correspond to those in Tables 1 and 2.

Current usage metrics show cumulative count of Article Views (full-text article views including HTML views, PDF and ePub downloads, according to the available data) and Abstracts Views on Vision4Press platform.

Data correspond to usage on the plateform after 2015. The current usage metrics is available 48-96 hours after online publication and is updated daily on week days.

Initial download of the metrics may take a while.