Free Access

Fig. 5

image

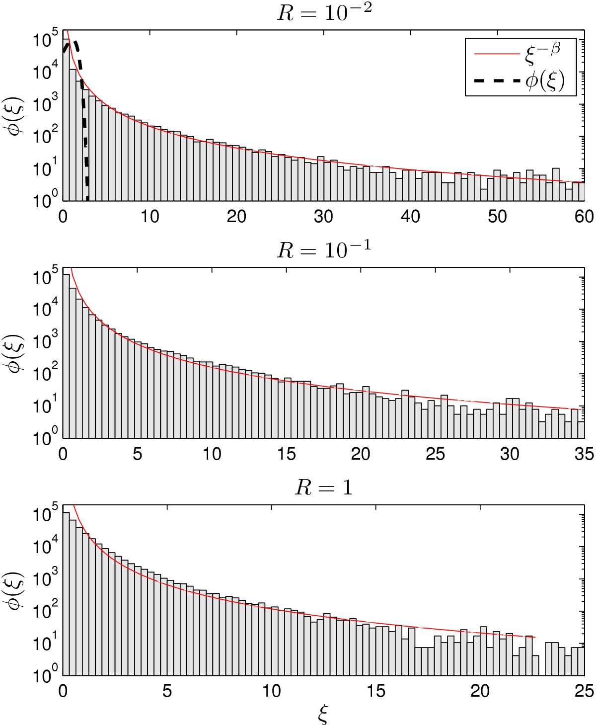
Distribution of the MSD randomness variable ξ as defined in Eq. (11). For the three rigidity values, the histograms of the numerical simulation are shown in logarithmic units. We note that there are significantly larger outliers that are omitted here for clarity. The red solid lines show power law fits ξβ with β = 2.226 (upper panel), β = 2.404 (middle panel), and β = 2.486 (lower panel). The black dashed line in the upper panel shows the distribution φ(ξ) as defined in Eq. (11).

Current usage metrics show cumulative count of Article Views (full-text article views including HTML views, PDF and ePub downloads, according to the available data) and Abstracts Views on Vision4Press platform.

Data correspond to usage on the plateform after 2015. The current usage metrics is available 48-96 hours after online publication and is updated daily on week days.

Initial download of the metrics may take a while.