Free Access

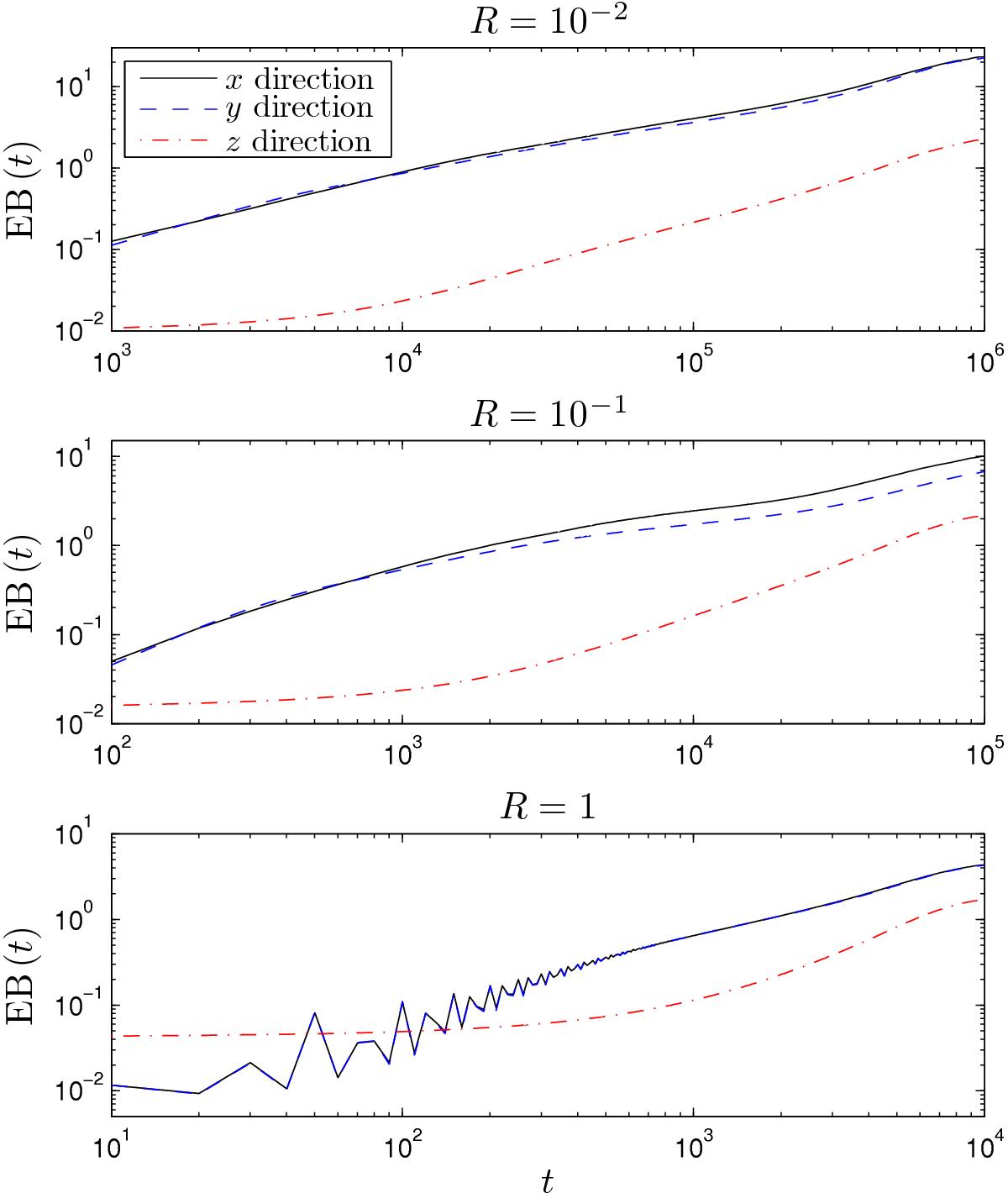
Fig. 6

image

Ergodicity breaking parameter as defined in Eq. (15)for the three rigidity values. The black solid and blue dashed lines (the latter only marginally visible in the bottom panel) show EB(t) for the x and y directions, respectively. For comparison purposes, the red dot-dashed line shows EB(t) for the z direction.

Current usage metrics show cumulative count of Article Views (full-text article views including HTML views, PDF and ePub downloads, according to the available data) and Abstracts Views on Vision4Press platform.

Data correspond to usage on the plateform after 2015. The current usage metrics is available 48-96 hours after online publication and is updated daily on week days.

Initial download of the metrics may take a while.