Free Access

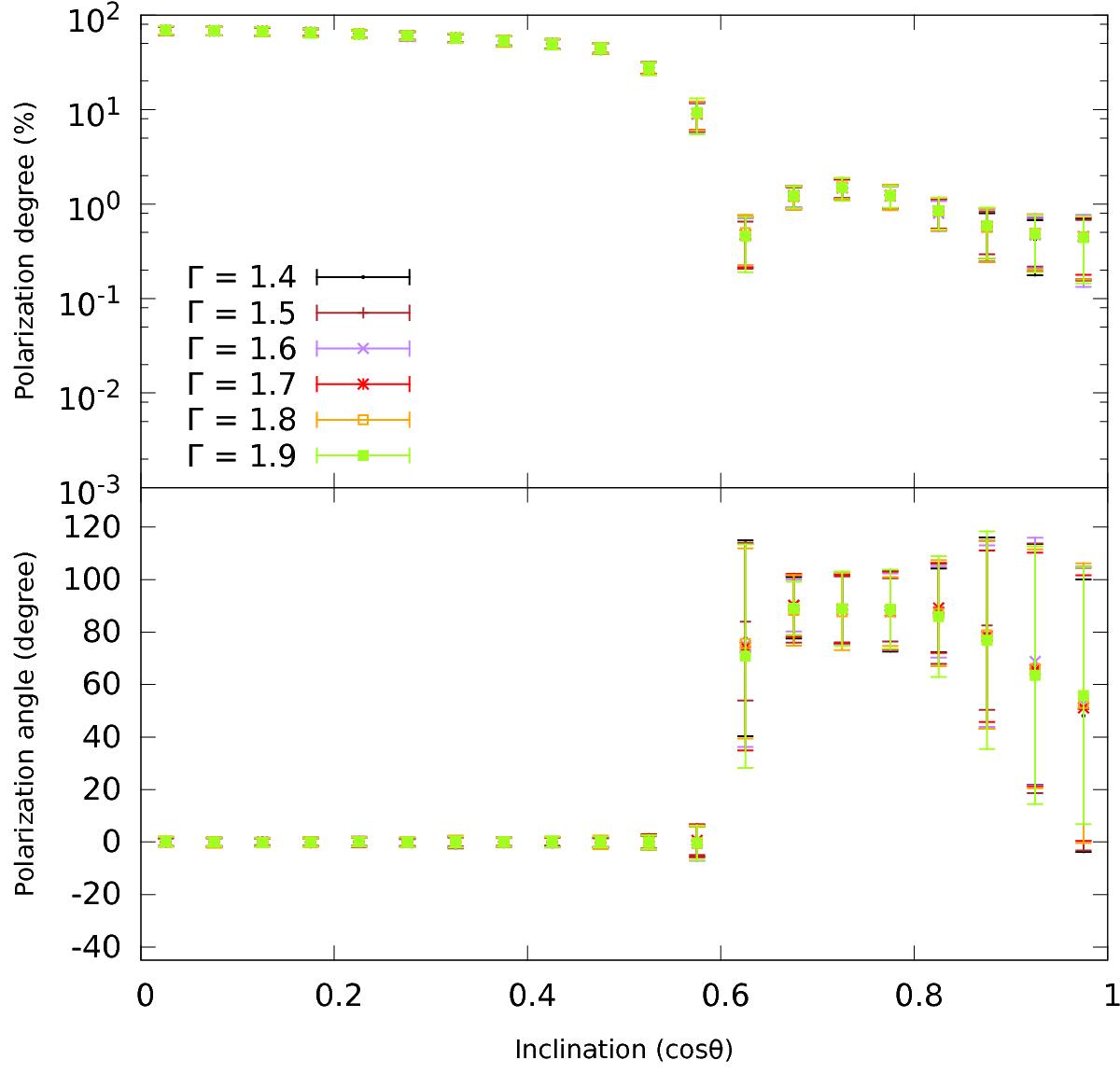
Fig. 4

image

Integrated 28 keV polarization degree (top) and polarization position angle (bottom) of our baseline model as a function of the observer’s viewing angle. In this particular case, the torus morphology is considered to have no time to react to the variation in the intensity of the radiation field.

Current usage metrics show cumulative count of Article Views (full-text article views including HTML views, PDF and ePub downloads, according to the available data) and Abstracts Views on Vision4Press platform.

Data correspond to usage on the plateform after 2015. The current usage metrics is available 48-96 hours after online publication and is updated daily on week days.

Initial download of the metrics may take a while.