Free Access

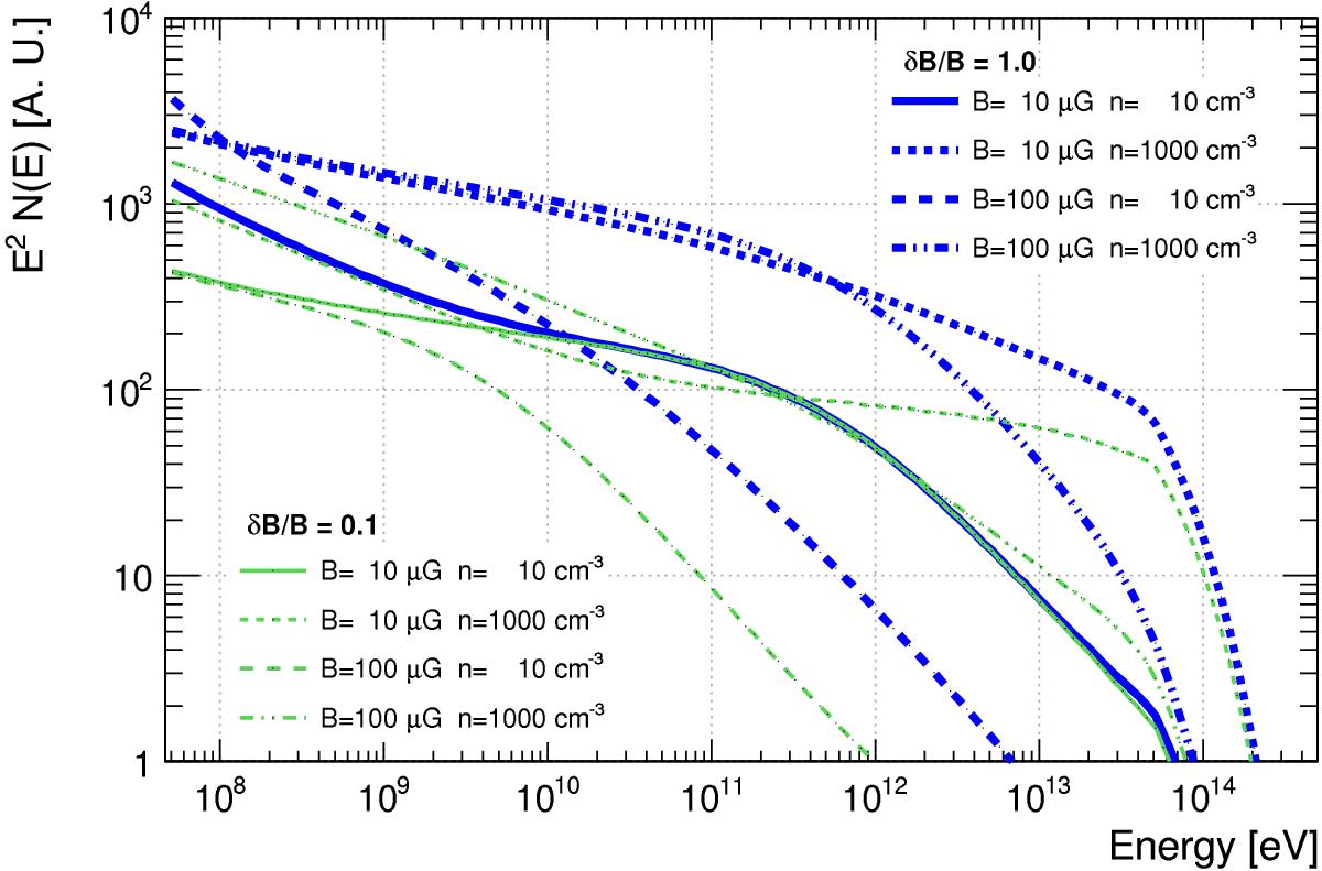
Fig. 3

image

Electron spectra assuming a typical cluster with an age of 1 Myr and with a radius of the HII region of RHII = 10 pc. The electron injection spectrum has a spectral index of s = 2 and an exponential energy cut-off set to Ee,max = 50 TeV. The index of turbulence is set to ν = 3/2 (Iroshnikov-Kraichnan turbulence).

Current usage metrics show cumulative count of Article Views (full-text article views including HTML views, PDF and ePub downloads, according to the available data) and Abstracts Views on Vision4Press platform.

Data correspond to usage on the plateform after 2015. The current usage metrics is available 48-96 hours after online publication and is updated daily on week days.

Initial download of the metrics may take a while.