Free Access

Fig. 1

image

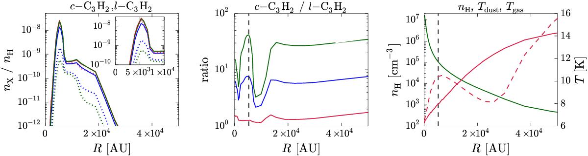
Left panel: abundances of c-C3H2 (solid lines) and l-C3H2 (dotted lines) as functions of distance from the core center in the L1544 model at t = 105 yr. Middle panel: C3H2c/l ratio as a function of distance from the core center in the L1544 model at t = 105 yr. Right panel: density (green solid line), dust temperature (red solid line), and gas temperature (red dashed line) as functions of distance from the core center in the L1544 model of Keto et al. (2014). The different colors in the left and middle panels correspond to (red), ~7 (blue), and 25 (green). The inset in the left panel shows a zoomed-in view of the innermost 10 000 AU in the model core. The black vertical line marks the position of the C3H2 abundance peak (the line is omitted in the left panel for clarity).

Current usage metrics show cumulative count of Article Views (full-text article views including HTML views, PDF and ePub downloads, according to the available data) and Abstracts Views on Vision4Press platform.

Data correspond to usage on the plateform after 2015. The current usage metrics is available 48-96 hours after online publication and is updated daily on week days.

Initial download of the metrics may take a while.