Free Access

Fig. 2

image

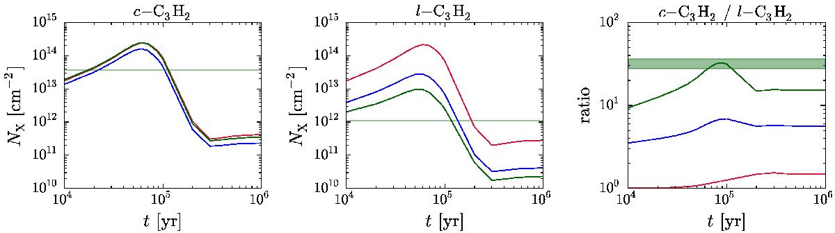
Column densities (convolved to a 30′′ beam) of c-C3H2 (left panel) and l-C3H2 (middle panel), and the C3H2c/l column density ratio (right panel) as functions of time toward the center of the L1544 model. The different colors correspond to (red), ~7 (blue), and 25 (green). The horizontal lines and bars in each panel correspond to the observed values toward the L1544 dust peak (Spezzano et al. 2016).

Current usage metrics show cumulative count of Article Views (full-text article views including HTML views, PDF and ePub downloads, according to the available data) and Abstracts Views on Vision4Press platform.

Data correspond to usage on the plateform after 2015. The current usage metrics is available 48-96 hours after online publication and is updated daily on week days.

Initial download of the metrics may take a while.