Free Access

Fig. D.2

image

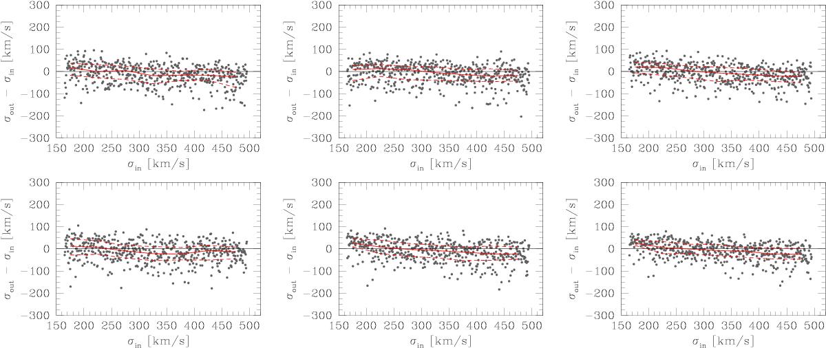
Top row: difference between the velocity dispersion measured (σout) and that provided as input (σin) in the model as function of σin for galaxy S2F1-511. The template adopted in the simulation have solar metallicity and age 2, 4, 5 Gyr from left to right. It is evident that the age of stellar populations do not affect our measurements. Bottom row: same as top row for the template with age 3 Gyr and subsolar, solar and super-solar metallicity from left to right. The three panels show that our uncertainty on stellar metallicity does not compromise our σ estimates. The red solid line is the median of the distribution, while the dashed lines are the 25th and 75th percentile.

Current usage metrics show cumulative count of Article Views (full-text article views including HTML views, PDF and ePub downloads, according to the available data) and Abstracts Views on Vision4Press platform.

Data correspond to usage on the plateform after 2015. The current usage metrics is available 48-96 hours after online publication and is updated daily on week days.

Initial download of the metrics may take a while.