Free Access

Fig. D.4

image

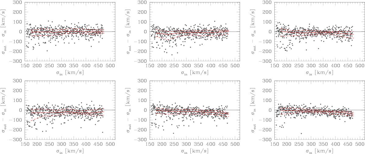
Same as Fig. D.2 for galaxy S2F1-527. Given the spectrum and SED fitting of this ETG, which both suggest a very young age for its stellar population, in the simulation of this galaxy we adopted, as galaxy templates, simple stellar population templates with solar metallicity and ages of 0.5, 1, 2 Gyr (upper panels, from left to right) and stellar population templates with an age of 3 Gyr and subsolar, solar, and super-solar metallicity (lower panels, from left to right).

This figure is made of several images, please see below:

Current usage metrics show cumulative count of Article Views (full-text article views including HTML views, PDF and ePub downloads, according to the available data) and Abstracts Views on Vision4Press platform.

Data correspond to usage on the plateform after 2015. The current usage metrics is available 48-96 hours after online publication and is updated daily on week days.

Initial download of the metrics may take a while.