Free Access

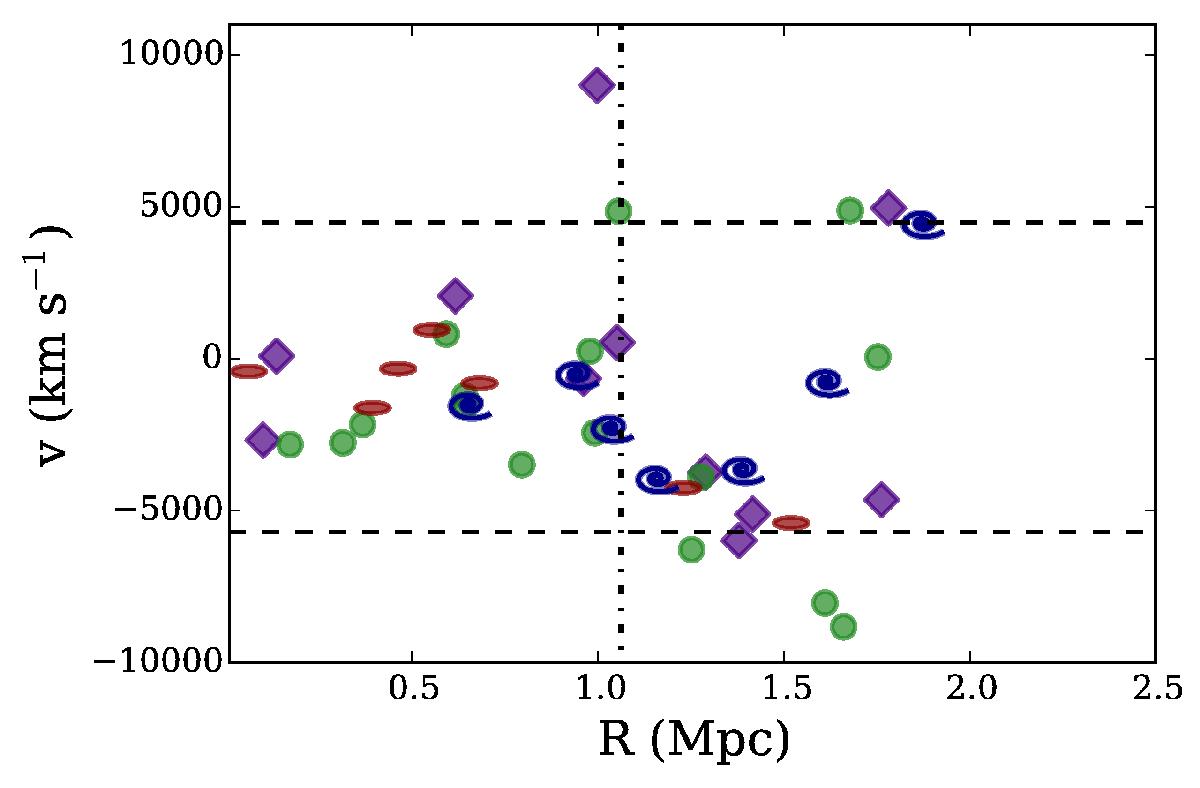
Fig. 18

image

Radius vs. radial velocity for the morphological samples: ET (red ellipses), LT (blue spirals), ET with SF (violet diamonds), and LCBG (green circles). For the rest of the blue ET sample there is no dynamical information. The vertical dash-dotted line indicates the virial radius position, and horizontal dashed lines mark off the radial velocity range full covered within the OSIRIS field of view.

Current usage metrics show cumulative count of Article Views (full-text article views including HTML views, PDF and ePub downloads, according to the available data) and Abstracts Views on Vision4Press platform.

Data correspond to usage on the plateform after 2015. The current usage metrics is available 48-96 hours after online publication and is updated daily on week days.

Initial download of the metrics may take a while.