Free Access

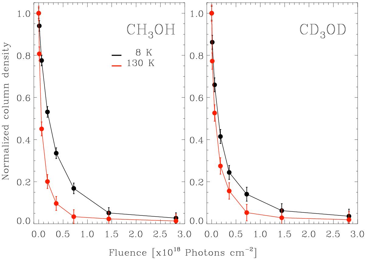
Fig. 5

image

Methanol and methanol-D4 ice normalized column density as a function of fluence during experiments 1 and 7 at 8 K (black trace) and experiments 6 and 12 at 130 K (red trace).

Current usage metrics show cumulative count of Article Views (full-text article views including HTML views, PDF and ePub downloads, according to the available data) and Abstracts Views on Vision4Press platform.

Data correspond to usage on the plateform after 2015. The current usage metrics is available 48-96 hours after online publication and is updated daily on week days.

Initial download of the metrics may take a while.