Free Access

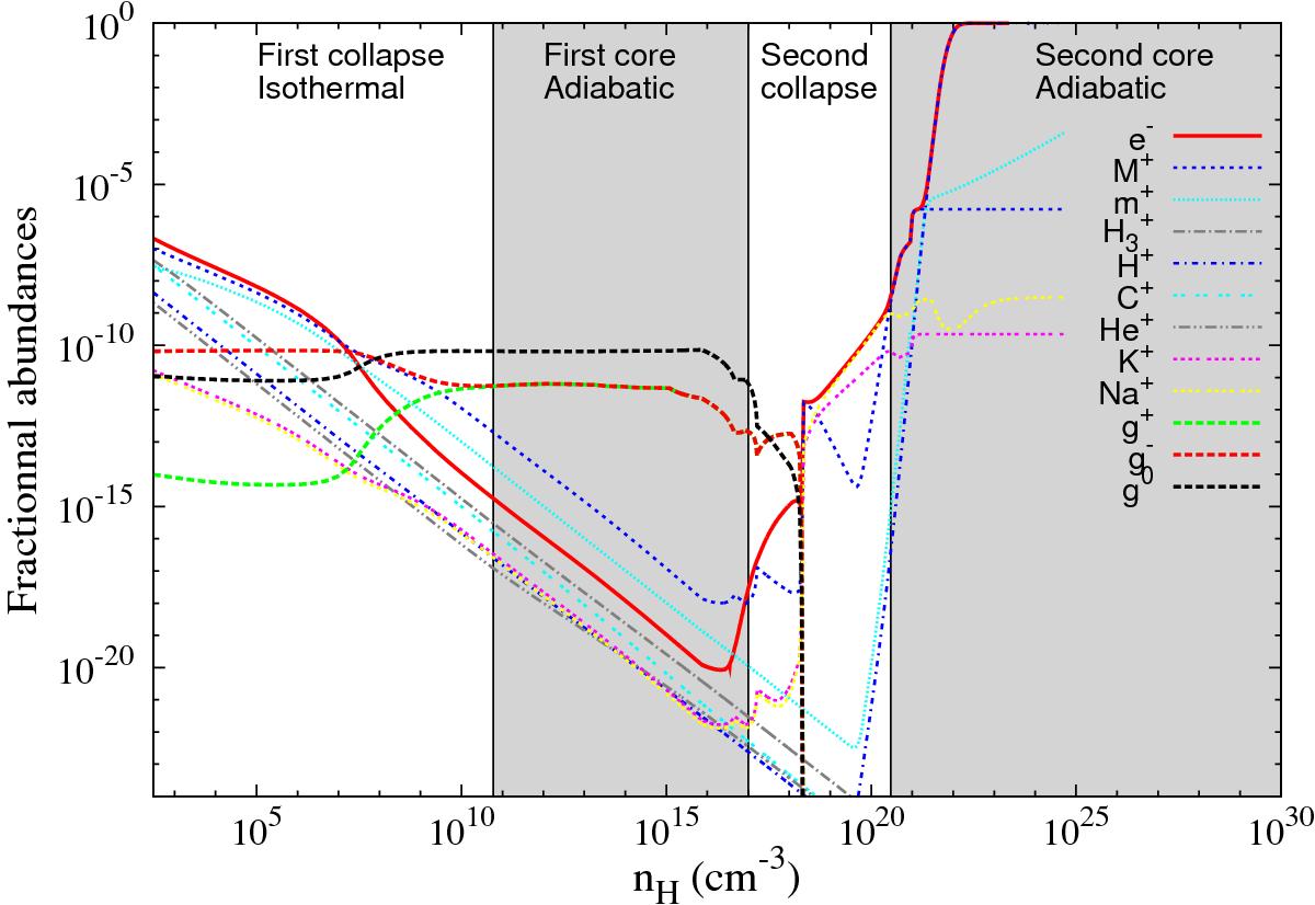
Fig. 3

image

Evolution of the fractional abundances for the charged species with density for our fiducial case: 10 bins of grains, barotropic equation of state and a cosmic-ray ionisation rate ζCR = 10-17 s-1.

Current usage metrics show cumulative count of Article Views (full-text article views including HTML views, PDF and ePub downloads, according to the available data) and Abstracts Views on Vision4Press platform.

Data correspond to usage on the plateform after 2015. The current usage metrics is available 48-96 hours after online publication and is updated daily on week days.

Initial download of the metrics may take a while.