Fig. 6

image

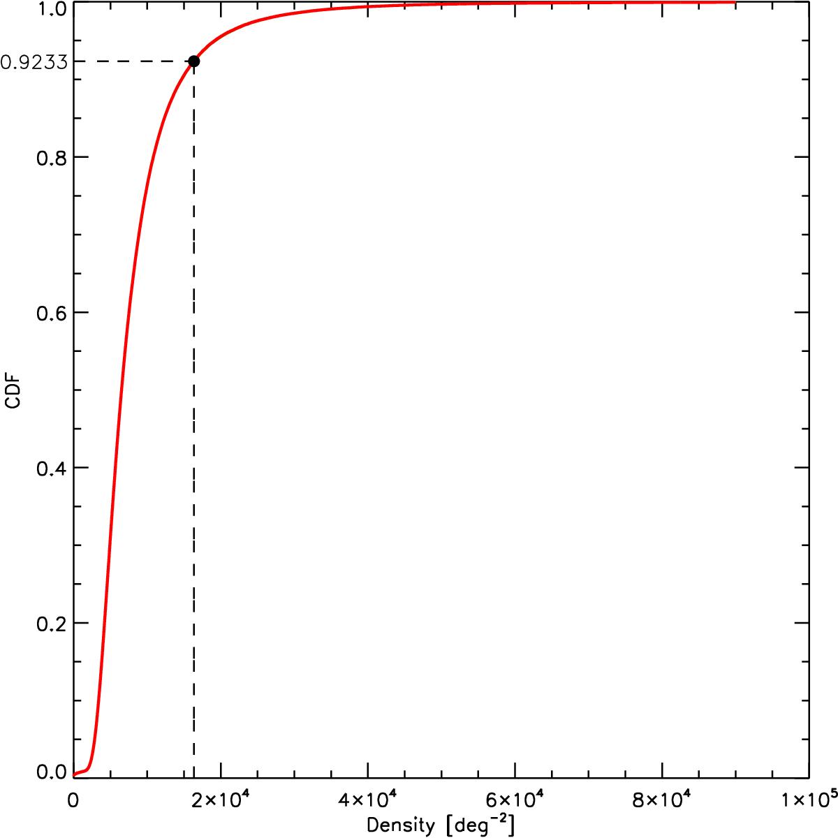
Cumulative distribution function (CDF) of galaxy densities in ten simulated catalogues with randomly distributed artificially generated galaxies. The overdensity threshold used in this paper corresponds to the 92% quantile of the distribution. Galaxies populating Voronoi cells with density above this value are treated as overdense region/cluster member candidates.

Current usage metrics show cumulative count of Article Views (full-text article views including HTML views, PDF and ePub downloads, according to the available data) and Abstracts Views on Vision4Press platform.

Data correspond to usage on the plateform after 2015. The current usage metrics is available 48-96 hours after online publication and is updated daily on week days.

Initial download of the metrics may take a while.