Press Release
Free Access

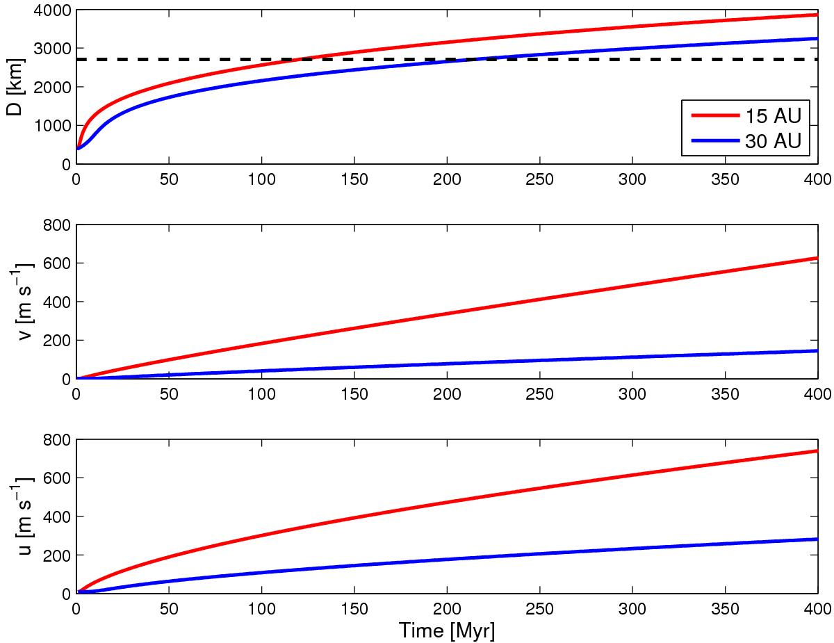
Fig. 12

image

Evolution of the diameter D (Triton dashed) and random velocity v of the largest TNOs in the primordial disk (upper and middle panels) according to the two-groups approximation (Goldreich et al. 2004). Evolution of random velocity u of comets (lower panel).

Current usage metrics show cumulative count of Article Views (full-text article views including HTML views, PDF and ePub downloads, according to the available data) and Abstracts Views on Vision4Press platform.

Data correspond to usage on the plateform after 2015. The current usage metrics is available 48-96 hours after online publication and is updated daily on week days.

Initial download of the metrics may take a while.