Press Release
Free Access

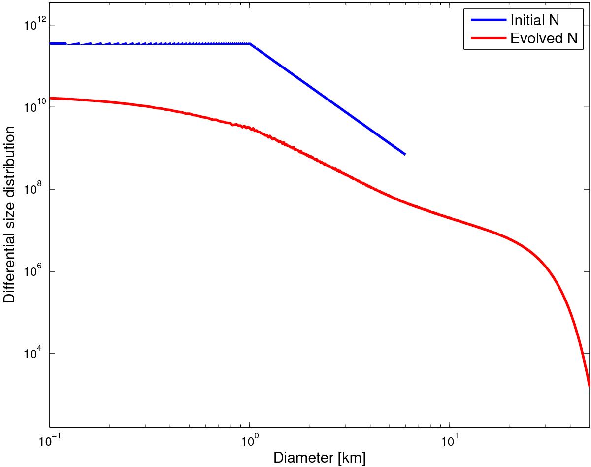
Fig. 14

image

The initial size distribution of cometesimals (blue) resulting from ~3 Myr of hierarchical agglomeration in the solar nebula combined with selective accretion by TNOs. It is a q = 3.47 power law at D ≥ 1 km but flattens at 0.1 ≤ D ≤ 1 km. The size distribution evolves through low-velocity (u = 40 m s-1) mergers during the first 25 Myr of the gas–free primordial disk (red) according to Eq. (9).

Current usage metrics show cumulative count of Article Views (full-text article views including HTML views, PDF and ePub downloads, according to the available data) and Abstracts Views on Vision4Press platform.

Data correspond to usage on the plateform after 2015. The current usage metrics is available 48-96 hours after online publication and is updated daily on week days.

Initial download of the metrics may take a while.