Fig. 6

image

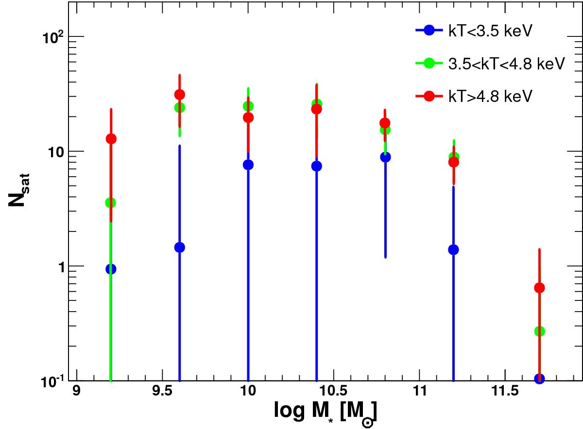
Non-parametric halo occupation distribution of satellite galaxies in XXL-100-GC clusters in three temperature bins as a function of the galaxy’s stellar mass for three temperature bins (T300 kpc< 3.5 keV, blue; 3.5 <T300 kpc< 4.8 keV, green; T300 kpc> 4.8 keV, red).

Current usage metrics show cumulative count of Article Views (full-text article views including HTML views, PDF and ePub downloads, according to the available data) and Abstracts Views on Vision4Press platform.

Data correspond to usage on the plateform after 2015. The current usage metrics is available 48-96 hours after online publication and is updated daily on week days.

Initial download of the metrics may take a while.