Fig. 8

image

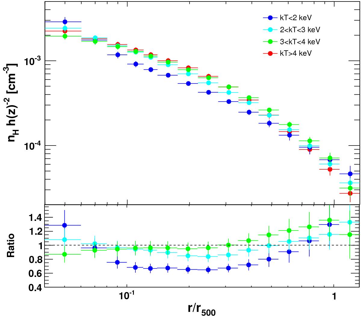
Mean self-similar scaled ion density profiles for the XXL-100-GC sample for four different temperature bins (T300 kpc< 2 keV, blue; 2 <T300 kpc< 3 keV, yellow; 3 <T300 kpc< 4 keV, green; T300 kpc> 4 keV, red). The uncertainties in the mean were computed using 104 bootstrap samplings of the populations. The bottom panel shows the ratio of the mean gas density profiles to the high-temperature bin.

Current usage metrics show cumulative count of Article Views (full-text article views including HTML views, PDF and ePub downloads, according to the available data) and Abstracts Views on Vision4Press platform.

Data correspond to usage on the plateform after 2015. The current usage metrics is available 48-96 hours after online publication and is updated daily on week days.

Initial download of the metrics may take a while.