Free Access
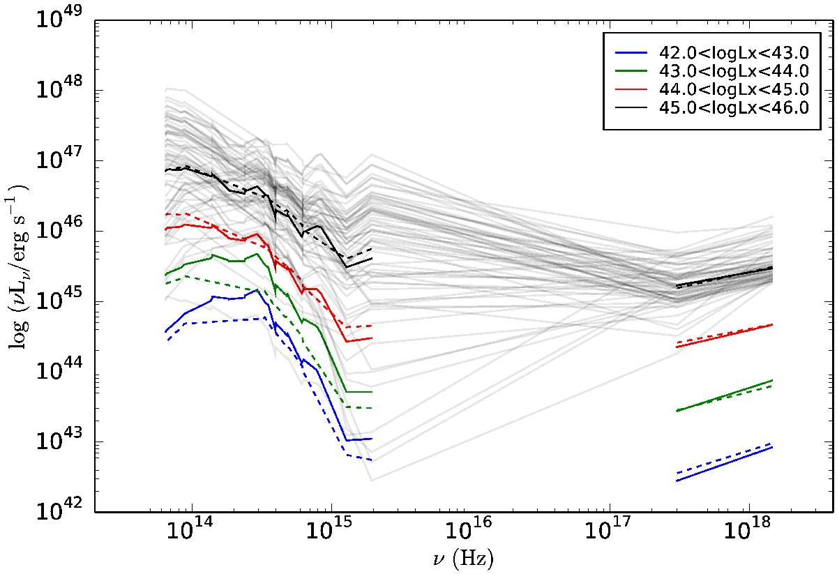
Fig. 8
Median rest-frame SEDs for X-ray counterparts from X-rays to mid-infrared, split into X-ray luminosity bins. Solid lines refer to XXL-N sources, dashed lines to XXL-S sources. The grey lines show the SEDs of all sources in the 45 < log Lx< 46 bin as an example of the large diversity of AGN hosts.
Current usage metrics show cumulative count of Article Views (full-text article views including HTML views, PDF and ePub downloads, according to the available data) and Abstracts Views on Vision4Press platform.
Data correspond to usage on the plateform after 2015. The current usage metrics is available 48-96 hours after online publication and is updated daily on week days.
Initial download of the metrics may take a while.