Free Access

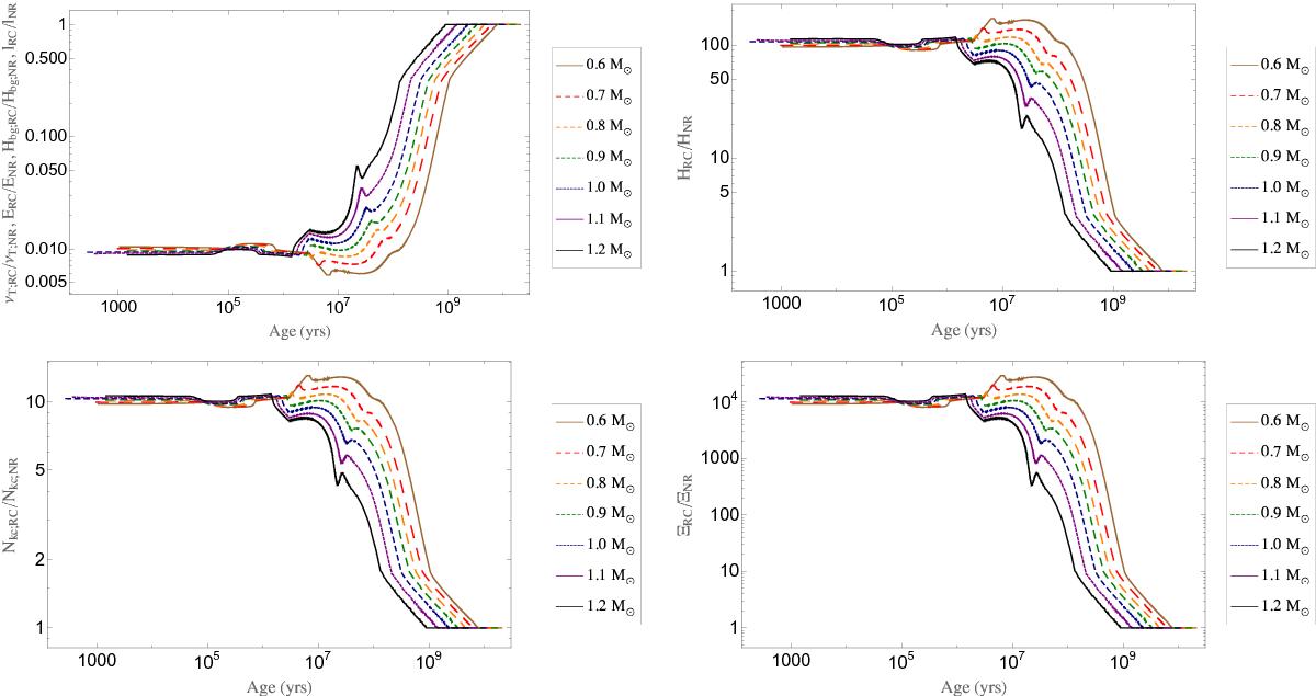
Fig. 6

image

Top left: evolution of νT;RC/νT;NR, ERC/ENR, Hbg;RC/Hbg;NR and lRC/lNR at r = ΔRCZ/ 2 (not written on labels to lighten notations) as a function of stellar age (in logarithm scales) for stellar masses from 0.6 M to 1.2 M (colours have been in defined in the caption of Fig. 5). Top right: same for HRC/HNR. Bottom left: same for NRC/NNR. Bottom right: same for ΞRC/ ΞNR.

This figure is made of several images, please see below:

Current usage metrics show cumulative count of Article Views (full-text article views including HTML views, PDF and ePub downloads, according to the available data) and Abstracts Views on Vision4Press platform.

Data correspond to usage on the plateform after 2015. The current usage metrics is available 48-96 hours after online publication and is updated daily on week days.

Initial download of the metrics may take a while.