Free Access

Fig. 3

image

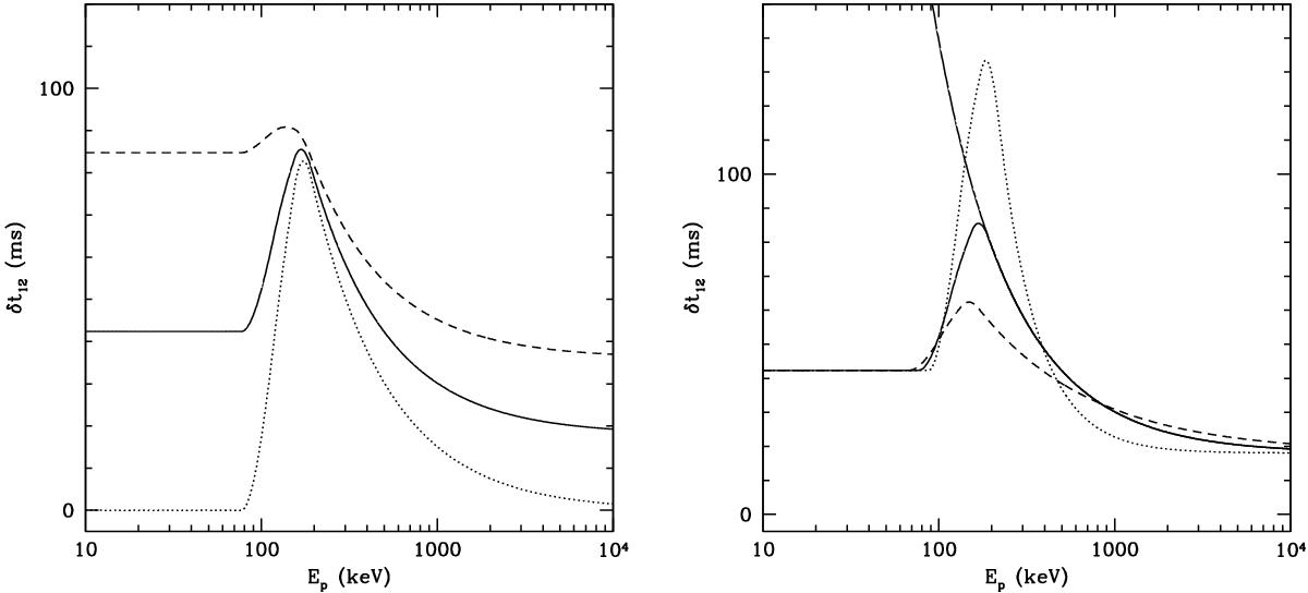
a)Left panel: lags between the two bands, [100–150] and [200–250] keV, as a function of the peak energy of the pulse spectrum. The spectral indices at low and high energy are α = −1 and β = −2.3. The curves correspond to the same three cases of spectral evolution considered in Fig. 2; b) right panel: same as a) for the case δep = −0.5 and δa = δb = 0.1 (full line), but also with a modified Band spectrum with n = 2 (dotted line) and n = 0.67 (dashed line). The full line that continuously rises at low Ep corresponds to a power-law spectrum with α = −1 and an exponential cut-off.

This figure is made of several images, please see below:

Current usage metrics show cumulative count of Article Views (full-text article views including HTML views, PDF and ePub downloads, according to the available data) and Abstracts Views on Vision4Press platform.

Data correspond to usage on the plateform after 2015. The current usage metrics is available 48-96 hours after online publication and is updated daily on week days.

Initial download of the metrics may take a while.