Free Access

Fig. 14

image

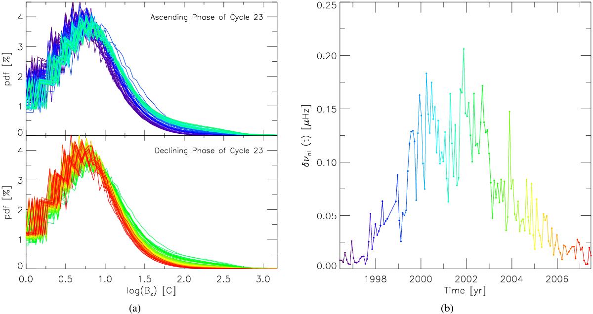
a) Histogram of magnetic field strength determined from synoptic SOHO/MID maps for the ascending and declining phases (top and bottom panel, respectively). b) The integrated frequency shift, (Eq. (10)), vs. time for solar cycle 23. Both figures have the same colour-coding for time.

This figure is made of several images, please see below:

Current usage metrics show cumulative count of Article Views (full-text article views including HTML views, PDF and ePub downloads, according to the available data) and Abstracts Views on Vision4Press platform.

Data correspond to usage on the plateform after 2015. The current usage metrics is available 48-96 hours after online publication and is updated daily on week days.

Initial download of the metrics may take a while.