Free Access

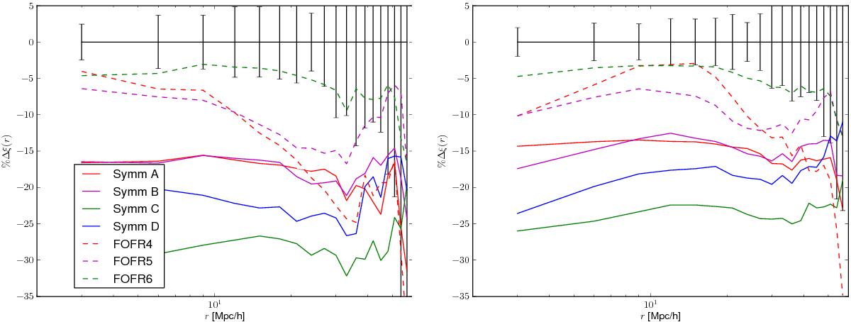
Fig. 1

image

left: fractional difference between the 2PCF measurements of dark matter halos within modified gravity and ΛCDM simulations in real comoving space. right: same as left plot, now in redshift space.

This figure is made of several images, please see below:

Current usage metrics show cumulative count of Article Views (full-text article views including HTML views, PDF and ePub downloads, according to the available data) and Abstracts Views on Vision4Press platform.

Data correspond to usage on the plateform after 2015. The current usage metrics is available 48-96 hours after online publication and is updated daily on week days.

Initial download of the metrics may take a while.