Free Access

Fig. 2

image

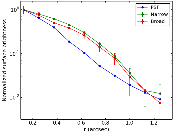
Upper panel: J-band spectrum of XID178 around the [O iii] λ4959, 5007 lines extracted from a region of 1.25′′× 1.25′′ centred at the QSO position. The observed spectrum is shown in black, the red curve shows the full fit, the green curve shows the narrow line component, while the blue curve shows the broad line component. The residuals of the fit are shown in the smaller panel below the integrated spectrum. Middle panel: maps of the narrow (left) and broad (right) component in the [O iii] λ5007 profile for XID178. Each pixel corresponds to a spatial scale of 0.25′′ which at the redshift of this object is equivalent to 2.15 kpc. The white contours in these maps represent the respective continuum emission of the object at levels 50%, 75%, and 95%. North is up and east is left. The maps show a one-pixel offset between the narrow and the broad components. The grey circle on the lower left shows the size of PSF. Lower panel: surface brightness profiles of the individual Gaussian components in XID178 derived from the flux maps in the middle panel. The green curve denotes the narrow component, the red curve the broad component, and the blue curve the PSF of the observations. Both components show an extension up to a distance of 1′′.

This figure is made of several images, please see below:

Current usage metrics show cumulative count of Article Views (full-text article views including HTML views, PDF and ePub downloads, according to the available data) and Abstracts Views on Vision4Press platform.

Data correspond to usage on the plateform after 2015. The current usage metrics is available 48-96 hours after online publication and is updated daily on week days.

Initial download of the metrics may take a while.