Free Access

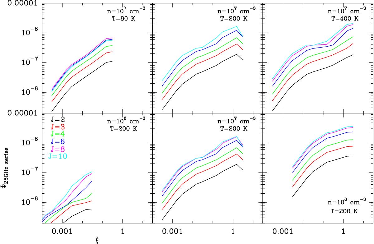
Fig. 11

image

Modelling results for the photon production rate of the J2J1-E (J = 2−10) series at 25 GHz maser at 200 K for various densities (bottom panel) and at n = 107 cm-3 and several temperatures (upper panel). It is possible to convert ξ to methanol abundance using Eq. (3).

Current usage metrics show cumulative count of Article Views (full-text article views including HTML views, PDF and ePub downloads, according to the available data) and Abstracts Views on Vision4Press platform.

Data correspond to usage on the plateform after 2015. The current usage metrics is available 48-96 hours after online publication and is updated daily on week days.

Initial download of the metrics may take a while.