Free Access

Fig. 12

image

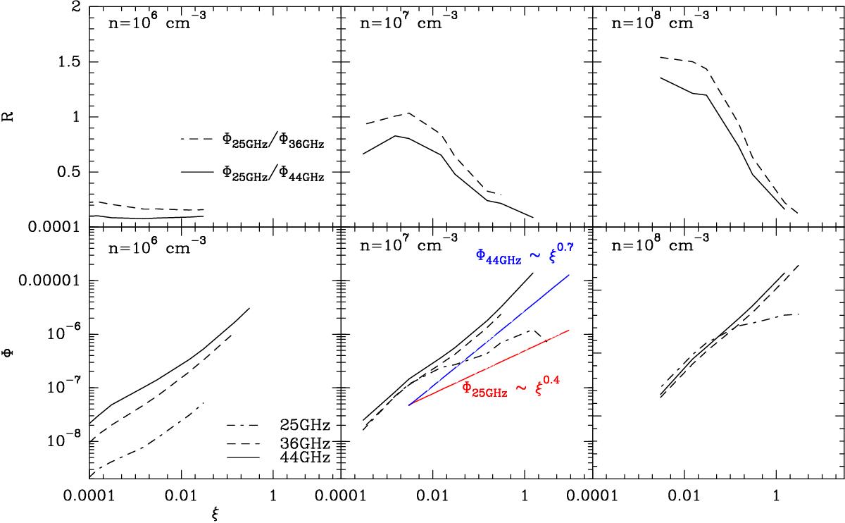
Bottom panel: comparison of the maser photon production rates for the 44 GHz, 36 GHz, and 25 GHz (J = 6) for various densities at 200 K. For example, the solid red and blue curves in the middle panel show a power law of ξ0.4 and ξ0.7, respectively. Top panel: modelling results for the ratios of the 62−61-E maser photon production rate to that of the 44 GHz and 36 GHz lines for various densities at 200 K. It is possible to convert ξ to methanol abundance using Eq. (3).

Current usage metrics show cumulative count of Article Views (full-text article views including HTML views, PDF and ePub downloads, according to the available data) and Abstracts Views on Vision4Press platform.

Data correspond to usage on the plateform after 2015. The current usage metrics is available 48-96 hours after online publication and is updated daily on week days.

Initial download of the metrics may take a while.