Free Access

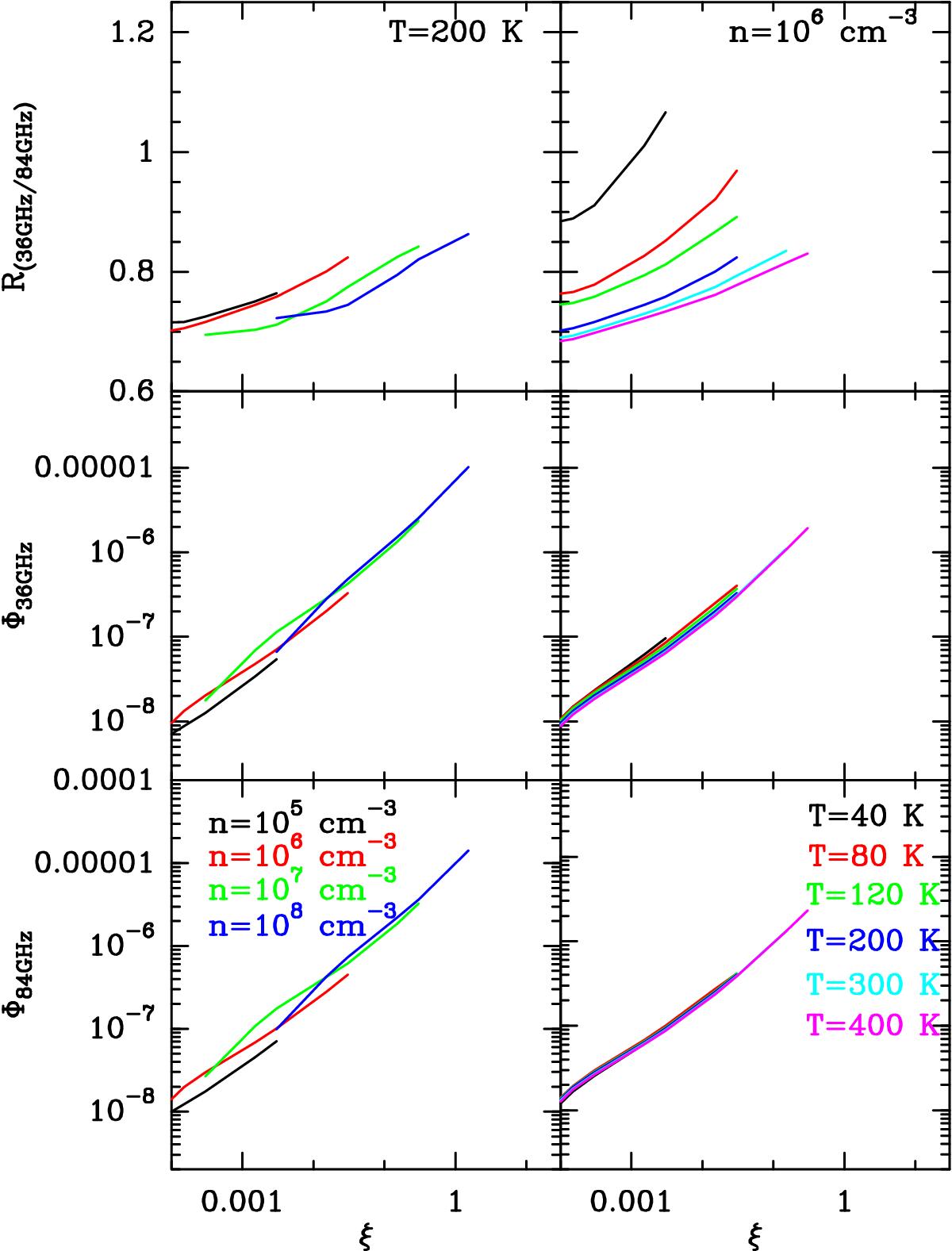
Fig. A.4

image

Modelling results for the 36 GHz (bottom) and 84 GHz (middle) maser photon production rates, and for their ratios (top) at 200 K for various densities (left panel) and at n = 106 cm-3 and several temperatures (right panel). It is possible to convert ξ to methanol abundance using Eq. (3).

Current usage metrics show cumulative count of Article Views (full-text article views including HTML views, PDF and ePub downloads, according to the available data) and Abstracts Views on Vision4Press platform.

Data correspond to usage on the plateform after 2015. The current usage metrics is available 48-96 hours after online publication and is updated daily on week days.

Initial download of the metrics may take a while.