Free Access

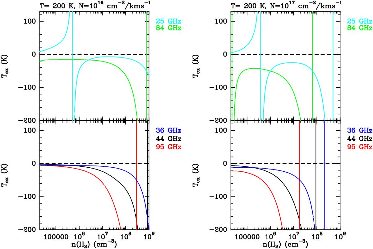
Fig. 6

image

Excitation temperature of the 44 GHz, 95 GHz, and 36 GHz lines (lower panels), and the 84 GHz and 62−61-E masers (upper panels) for a temperature of 200 K and a specific column density of 1016 cm-2 km-1 s (left) and of 1017 cm-2 km-1 s (right) as functions of volume density. The dashed horizontal line separates maser from non-maser behaviour. Vertical lines mark the transitions from maser to non-maser behaviour.

Current usage metrics show cumulative count of Article Views (full-text article views including HTML views, PDF and ePub downloads, according to the available data) and Abstracts Views on Vision4Press platform.

Data correspond to usage on the plateform after 2015. The current usage metrics is available 48-96 hours after online publication and is updated daily on week days.

Initial download of the metrics may take a while.