Free Access

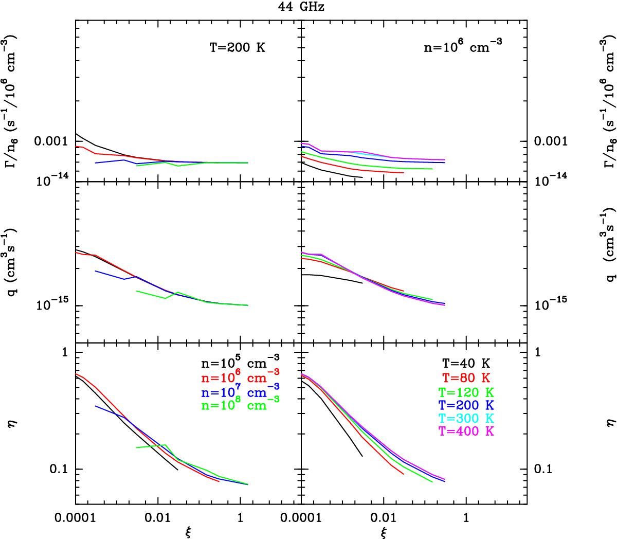
Fig. 7

image

Modelling results for the 44 GHz maser pumping at T = 200 K and various densities (left panel) and at n = 106 cm-3 and several temperatures (right panel). Plotted are the maser loss rate Γ divided by n6, the pump rate coefficient q, and the inversion efficiency η as functions of ξ. It is possible to convert ξ to methanol abundance using Eq. (3).

Current usage metrics show cumulative count of Article Views (full-text article views including HTML views, PDF and ePub downloads, according to the available data) and Abstracts Views on Vision4Press platform.

Data correspond to usage on the plateform after 2015. The current usage metrics is available 48-96 hours after online publication and is updated daily on week days.

Initial download of the metrics may take a while.