Free Access

Fig. 11

image

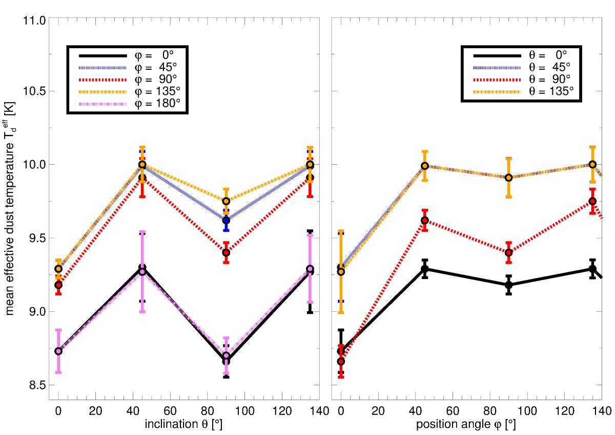
Like Fig. 8 but based on the masked maps of G11.11 Snake model. We see that the is approximately constant for all viewing angles, but variations between different sight lines are larger.

Current usage metrics show cumulative count of Article Views (full-text article views including HTML views, PDF and ePub downloads, according to the available data) and Abstracts Views on Vision4Press platform.

Data correspond to usage on the plateform after 2015. The current usage metrics is available 48-96 hours after online publication and is updated daily on week days.

Initial download of the metrics may take a while.