Free Access

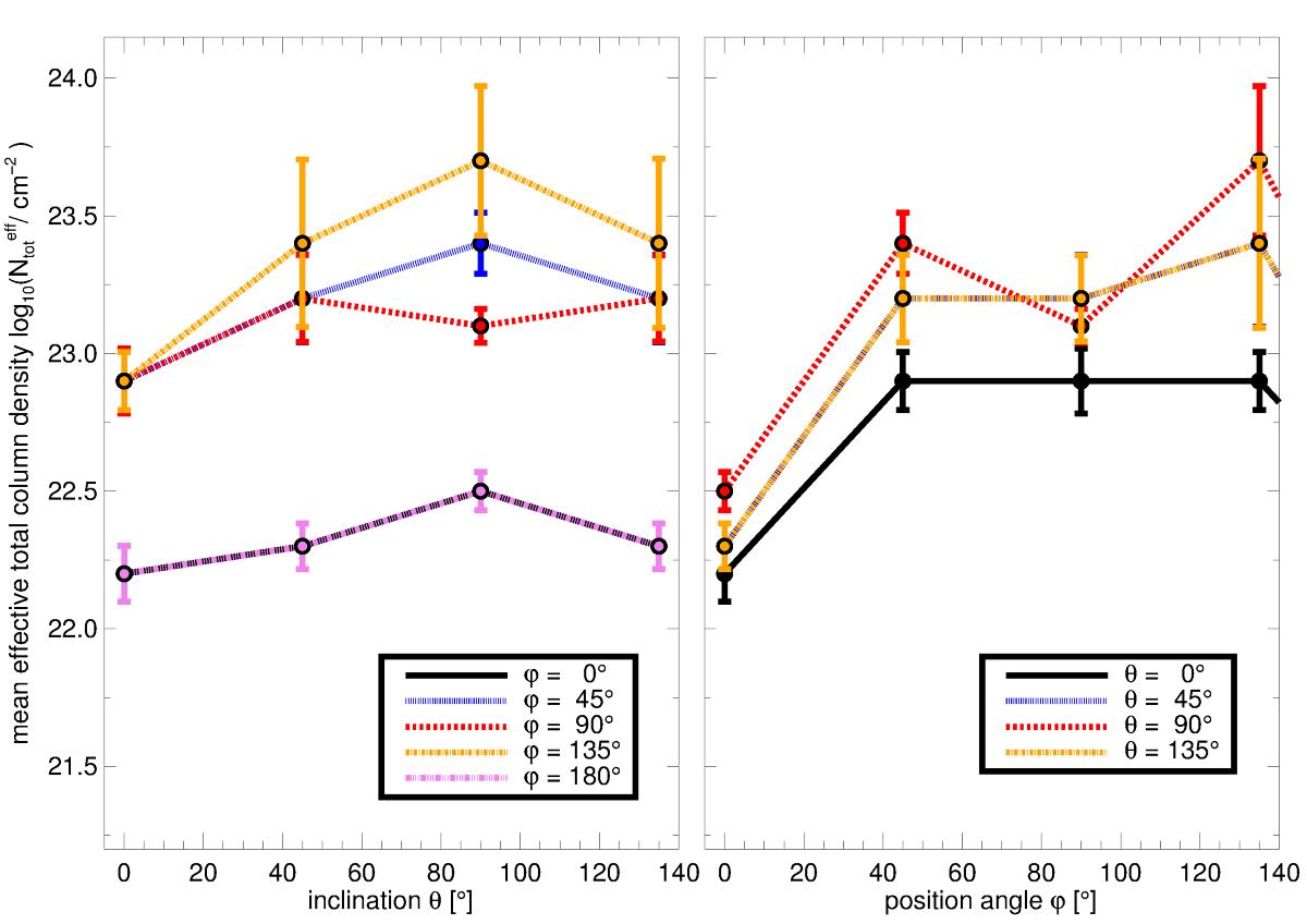
Fig. 7

image

Like Fig. 5 but for the G11.11 Snake model. We see a strong dependence of the on the viewing angle. The differences compared to (θ, ϕ) = (0°, 0°) are on the order of ~1.22.5 dex.

Current usage metrics show cumulative count of Article Views (full-text article views including HTML views, PDF and ePub downloads, according to the available data) and Abstracts Views on Vision4Press platform.

Data correspond to usage on the plateform after 2015. The current usage metrics is available 48-96 hours after online publication and is updated daily on week days.

Initial download of the metrics may take a while.