Free Access

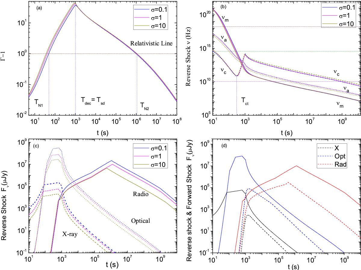
Fig. 2

image

Calculation results for Case II: L0 = 1049 erg s-1, Mej = 10-4M. Descriptions of panels are the same as in Fig. 1. In panel a) the blast wave decelerates immediately after linearly accelerating. In panels c) and d), owing to more energy injection to the blast wave than Case I, both reverse shock and forward shock emission is stronger than in Case I.

Current usage metrics show cumulative count of Article Views (full-text article views including HTML views, PDF and ePub downloads, according to the available data) and Abstracts Views on Vision4Press platform.

Data correspond to usage on the plateform after 2015. The current usage metrics is available 48-96 hours after online publication and is updated daily on week days.

Initial download of the metrics may take a while.