Free Access

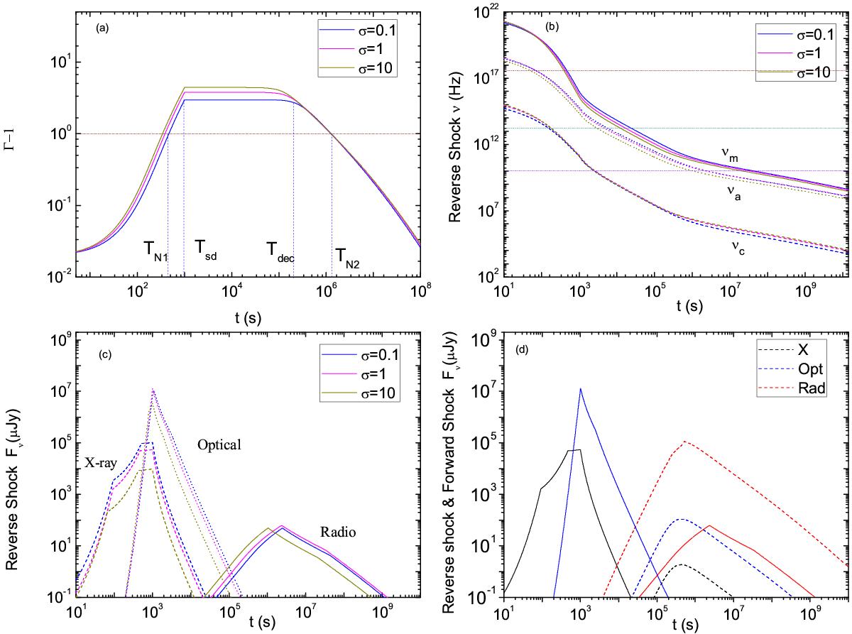
Fig. 3

image

Calculation results for Case III: L0 = 1049 erg s-1, Mej = 10-3M. Descriptions of panels are the same as in Fig. 1. In panel a) the dynamic of the blast wave shows a coasting phase between Tsd and Tdec. In panel b), the break frequencies νa , νm, and νc do not intersect each other.

Current usage metrics show cumulative count of Article Views (full-text article views including HTML views, PDF and ePub downloads, according to the available data) and Abstracts Views on Vision4Press platform.

Data correspond to usage on the plateform after 2015. The current usage metrics is available 48-96 hours after online publication and is updated daily on week days.

Initial download of the metrics may take a while.