Free Access

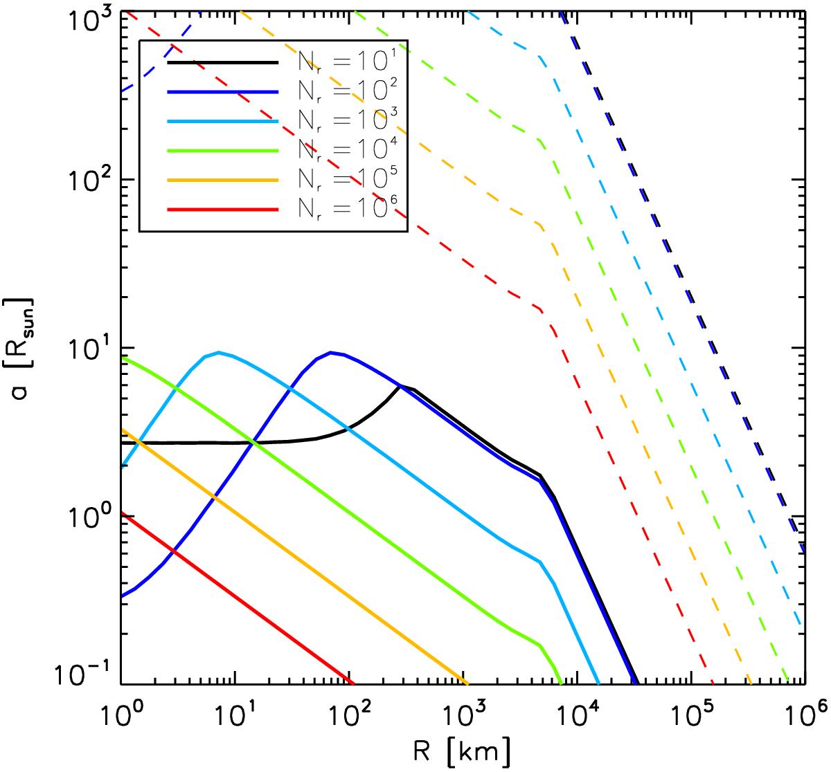
Fig. 3

image

Influence of companion composition on evaporation timescale. The contours of tev = 106yr (solid lines) and tev = 1012 yr (dashed lines) are represented as a function of companion distance a and size R for P = 10 ms, B = 108 G, and an indicative (and conservative) density ρ = 1 g cm-3, and for various companion refractive indices as indicated in the legend (increasing from right to left): σμ = 104−14 s-1, corresponding to Nr = 101−6.

Current usage metrics show cumulative count of Article Views (full-text article views including HTML views, PDF and ePub downloads, according to the available data) and Abstracts Views on Vision4Press platform.

Data correspond to usage on the plateform after 2015. The current usage metrics is available 48-96 hours after online publication and is updated daily on week days.

Initial download of the metrics may take a while.