Free Access

Fig. 9

image

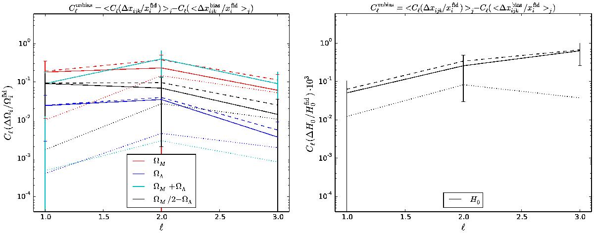
Power spectrum of the parameters estimated from the JLA type Ia SN sample. The dashed lines represent the average power spectra from the cosmic variance estimation, the dotted lines represent the power spectra of the average shuffle SNe estimation, and the solid lines are the unbiased power spectra defined as the difference between the former two. Left panel: power spectra of the matter energy density ΩM and dark energy density ΩΛ (estimated parameters), curvature energy density Ωκ, and the deceleration parameter q0 (derived parameters). Right panel: power spectrum of the Hubble parameter H0 (estimated parameter).

This figure is made of several images, please see below:

Current usage metrics show cumulative count of Article Views (full-text article views including HTML views, PDF and ePub downloads, according to the available data) and Abstracts Views on Vision4Press platform.

Data correspond to usage on the plateform after 2015. The current usage metrics is available 48-96 hours after online publication and is updated daily on week days.

Initial download of the metrics may take a while.