Free Access

Fig. 1

image

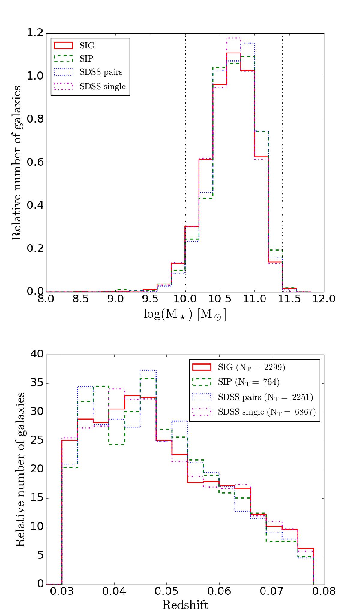
Upper panel: distribution of the stellar masses of the SIG and SDSS single galaxies (red solid and magenta dash-dotted histograms, respectively), and for central SIP and SDSS pairs (green dashed and blue dotted histograms, respectively). The vertical black dashed lines correspond to the selected stellar mass range for the study at 10.0 ≤ log (M) ≤ 11.4 [M]. Lower panel: distribution of the redshift of the SIG and SDSS single galaxies (red solid and magenta dash-dotted histograms, respectively), and for central SIP and SDSS pairs (green dashed and blue dotted histograms, respectively), for galaxies within the stellar mass limited sample (NT).

Current usage metrics show cumulative count of Article Views (full-text article views including HTML views, PDF and ePub downloads, according to the available data) and Abstracts Views on Vision4Press platform.

Data correspond to usage on the plateform after 2015. The current usage metrics is available 48-96 hours after online publication and is updated daily on week days.

Initial download of the metrics may take a while.