Free Access

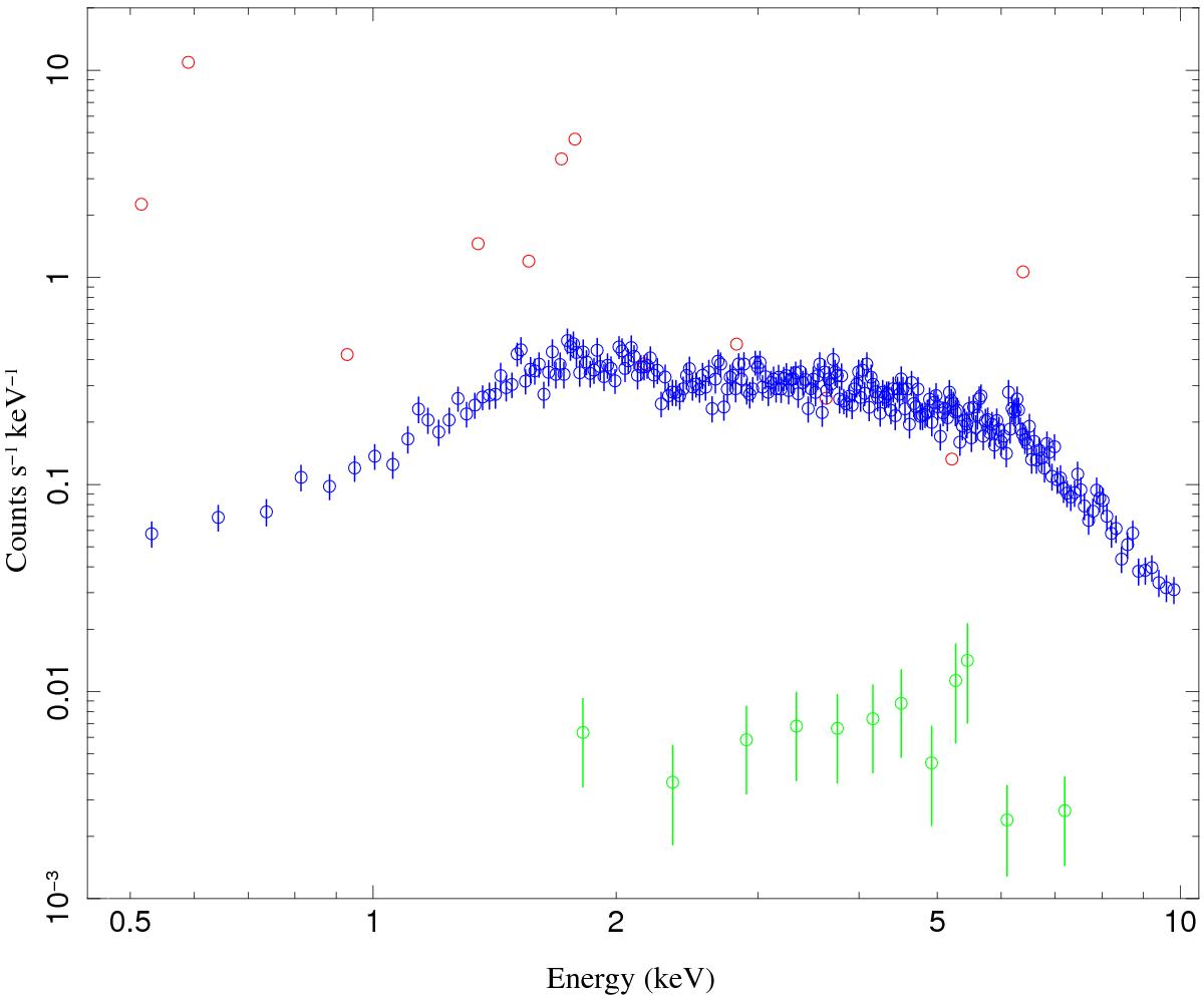
Fig. A.4

image

Spectra of XMMSL1 J044347.0+285822 from the slew survey 2003 (red), from an XMM pointed observation 2007 (blue) and during the Swift follow-up observation in 2010 (green). Please note that the spectra are not relatively calibrated.

Current usage metrics show cumulative count of Article Views (full-text article views including HTML views, PDF and ePub downloads, according to the available data) and Abstracts Views on Vision4Press platform.

Data correspond to usage on the plateform after 2015. The current usage metrics is available 48-96 hours after online publication and is updated daily on week days.

Initial download of the metrics may take a while.