Free Access

Fig. A.7

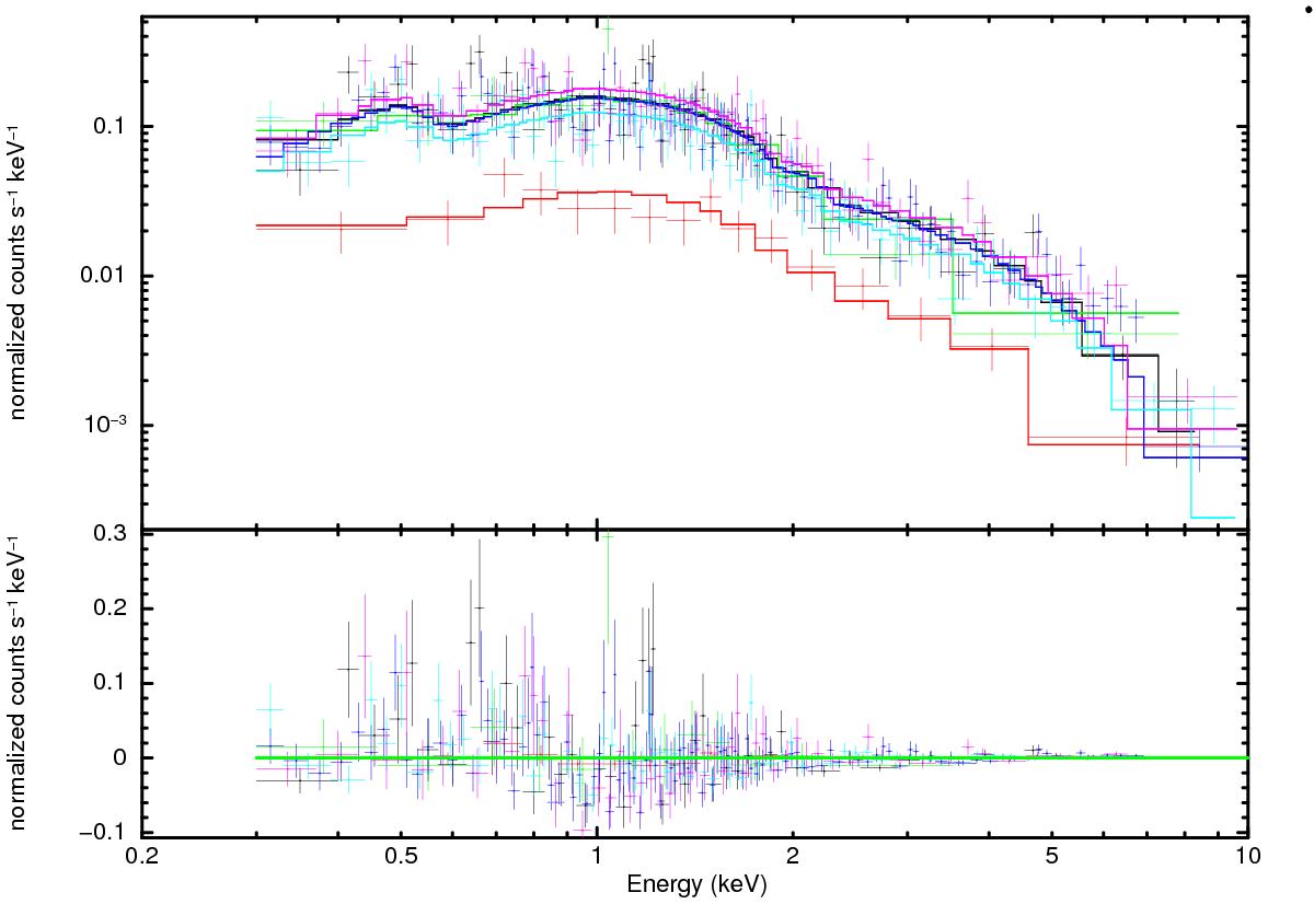
image

Simultaneous fit to eight Swift spectra from XMMSL1 J173738.2-595625 of a power law, of fitted index Γ = 1.90 ± 0.04, absorbed by the Galactic column. The normalisation is fairly constant, only varying significantly for the spectrum from 2008-06-03 (red), where it is lower than the brightest spectrum by a factor of five. This change in flux rate is reflected as a dip in the X-ray light curve (see Fig. B.1v). Additional absorption is not required to fit the spectra

Current usage metrics show cumulative count of Article Views (full-text article views including HTML views, PDF and ePub downloads, according to the available data) and Abstracts Views on Vision4Press platform.

Data correspond to usage on the plateform after 2015. The current usage metrics is available 48-96 hours after online publication and is updated daily on week days.

Initial download of the metrics may take a while.