Free Access

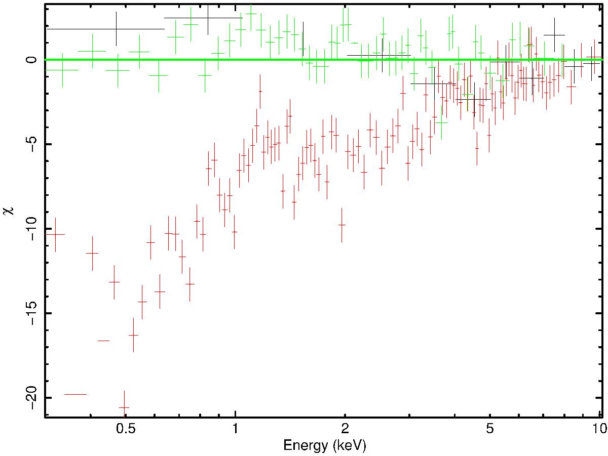
Fig. A.1

image

Residuals of the XMM slew 2002 (black), Swift 2006 (red) and Swift 2011 (green) observations of XMMSL1 J00534.8+392856 when compared to the best fit to the XMM spectrum of 2006, a simple power law plus a black body model.

Current usage metrics show cumulative count of Article Views (full-text article views including HTML views, PDF and ePub downloads, according to the available data) and Abstracts Views on Vision4Press platform.

Data correspond to usage on the plateform after 2015. The current usage metrics is available 48-96 hours after online publication and is updated daily on week days.

Initial download of the metrics may take a while.