Free Access

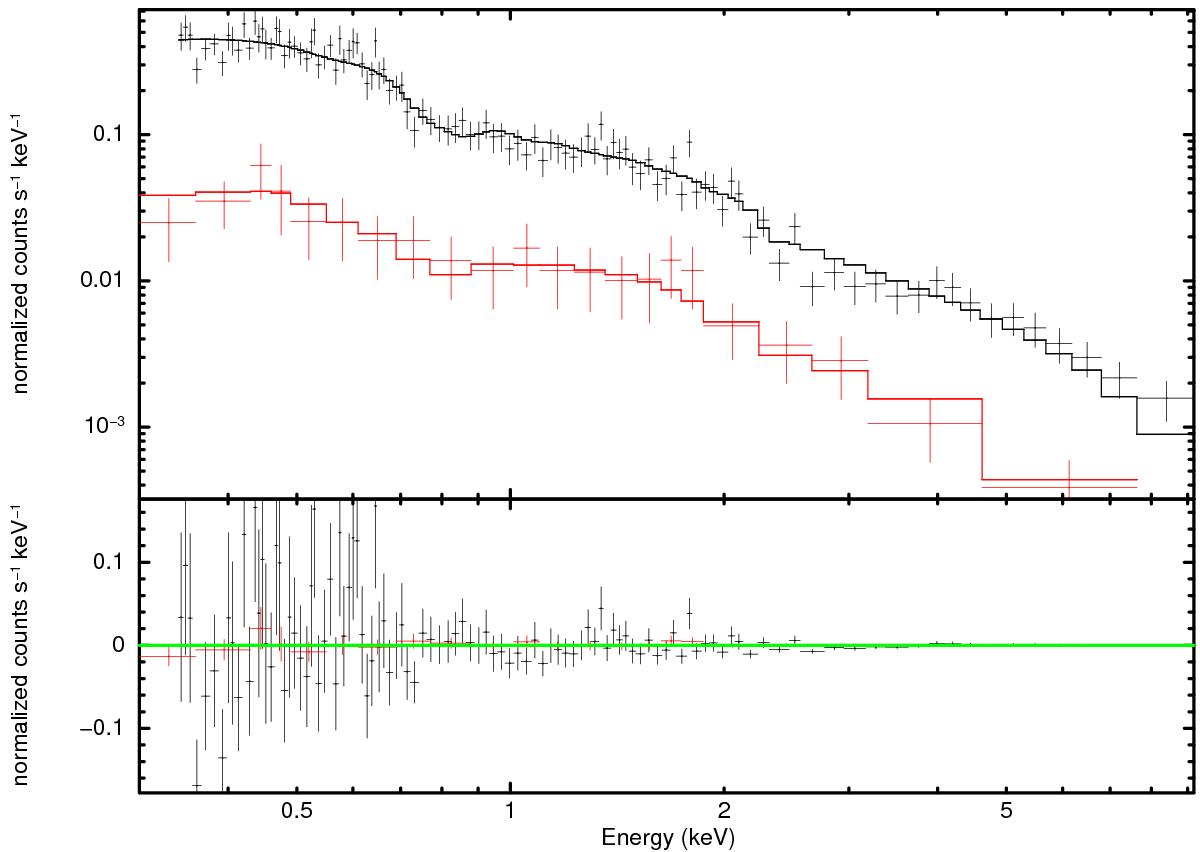
Fig. A.2

image

Simultaneous fit of the XMM 2006 and the merged Swift spectra of XMMSL1 J020303.1-074154. The model consists of a power law with and a strongly ionised thick absorber with and . All parameters are the same for both models, except the normalisation, which is 40% larger for the merged Swift spectra.

Current usage metrics show cumulative count of Article Views (full-text article views including HTML views, PDF and ePub downloads, according to the available data) and Abstracts Views on Vision4Press platform.

Data correspond to usage on the plateform after 2015. The current usage metrics is available 48-96 hours after online publication and is updated daily on week days.

Initial download of the metrics may take a while.