Free Access

Fig. 4

image

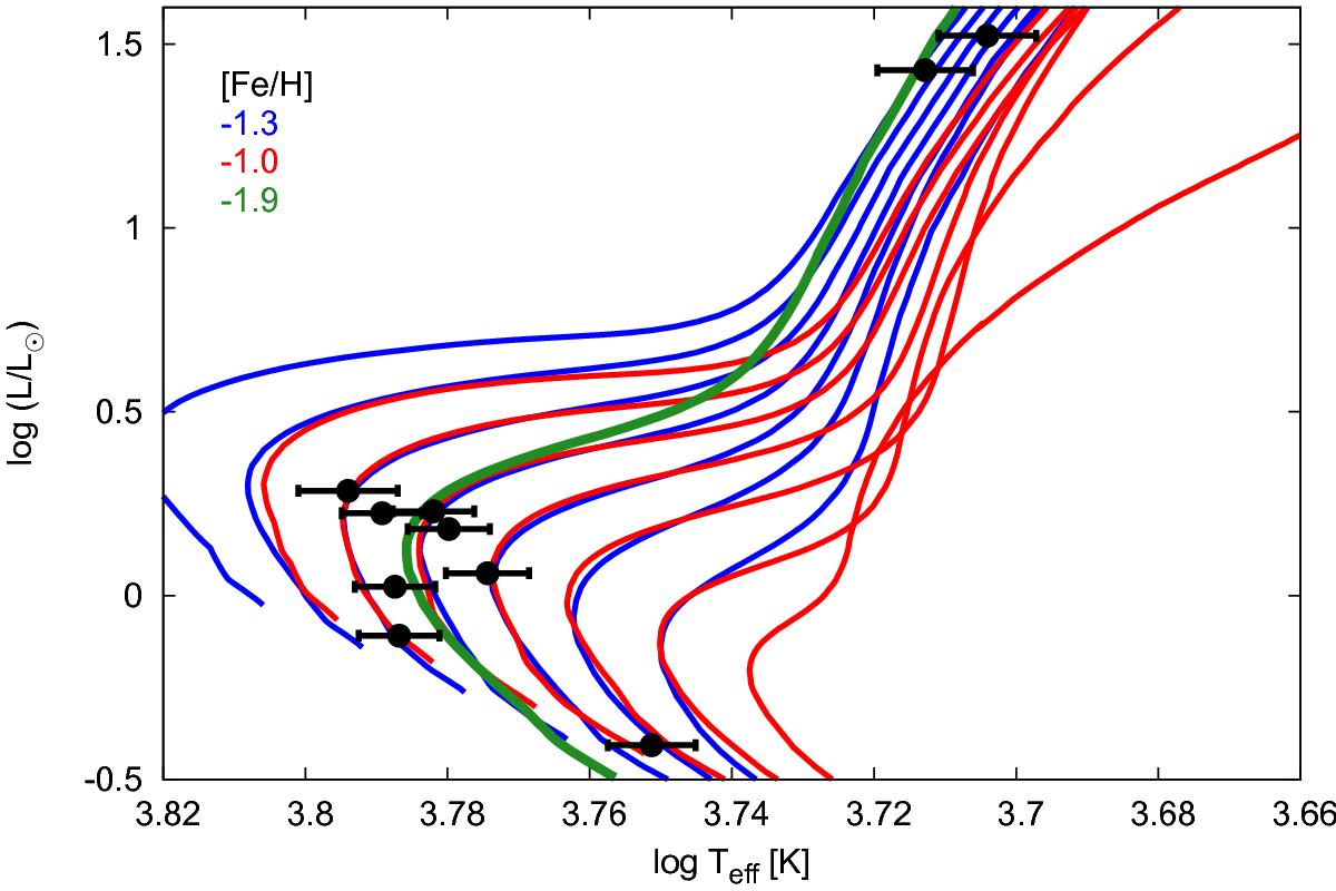
HRD showing the stellar parameters of the metal-poor benchmark candidates (black circles with error bars) superimposed on Yonsei-Yale evolutionary tracks for [α/Fe] = +0.3, and [Fe/H] = −1.3 (blue lines) and [Fe/H] = −1.0 (red lines). Tracks are shown for masses increasing from 0.60 M to the right to 0.90 M to the left, in steps of 0.05 M. The green line shows a track for [Fe/H] = −1.9 and a mass of 0.70 M, corresponding to the properties of the giant star HD 218857.

Current usage metrics show cumulative count of Article Views (full-text article views including HTML views, PDF and ePub downloads, according to the available data) and Abstracts Views on Vision4Press platform.

Data correspond to usage on the plateform after 2015. The current usage metrics is available 48-96 hours after online publication and is updated daily on week days.

Initial download of the metrics may take a while.