Free Access

Fig. 4

image

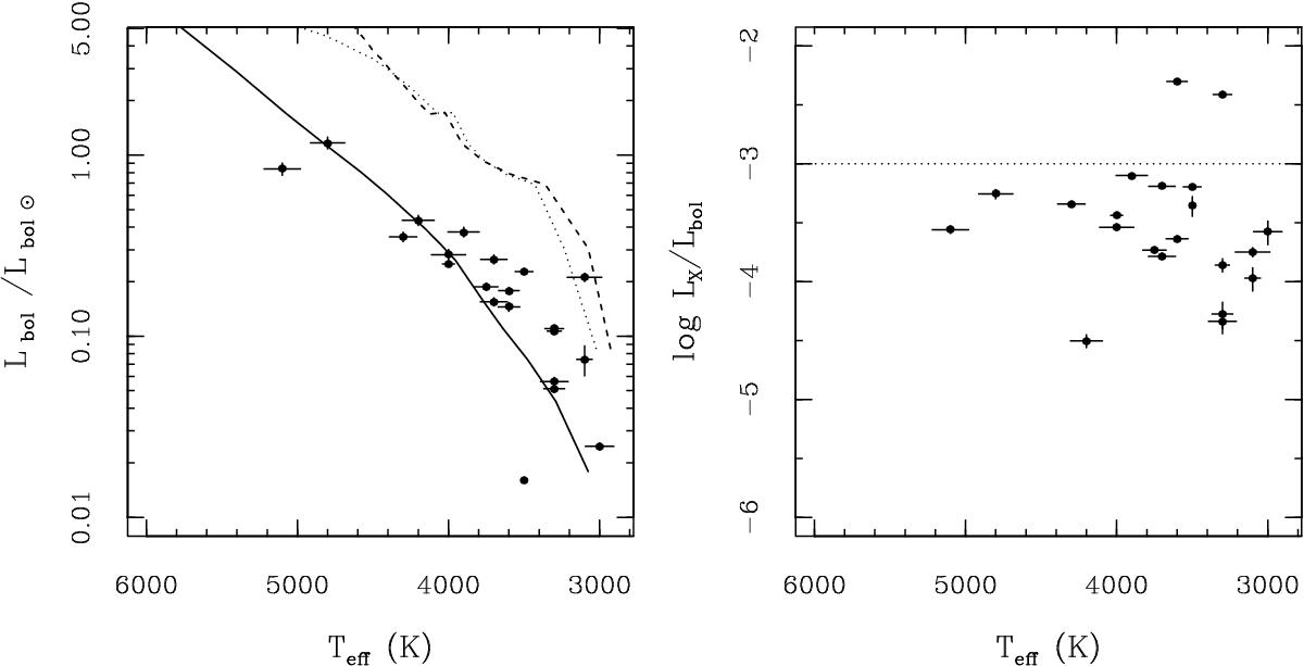
Left:Lbol vs. Teff for Class III stars and DDs in ρ Ophiuchi cluster with spectral fit to SEDs. Isochrones from Siess et al. (2000) at 1 Myr (dashed line), 5 Myr (dotted line) and 10 Myr (solid line) are traced.Most of the points are comprised betweeen 5 and 10 Myr isochrones. Right panel: LX/Lbol ratio vs. Teff for YSOs in the ρ Ophiuchi cluster. Most of the objects lie below the saturation limit of log LX/Lbol−3 (horizontal line), with the only exception of sources 1 and 61 which are found above it. The cause could be a systematic uncertainty by ~0.6 dex in Lbol or LX. The points show an overall scatter of about 0.5 dex, and a slight decrease of the LX/Lbol ratio is visible for Teff< 3500.

Current usage metrics show cumulative count of Article Views (full-text article views including HTML views, PDF and ePub downloads, according to the available data) and Abstracts Views on Vision4Press platform.

Data correspond to usage on the plateform after 2015. The current usage metrics is available 48-96 hours after online publication and is updated daily on week days.

Initial download of the metrics may take a while.