Free Access

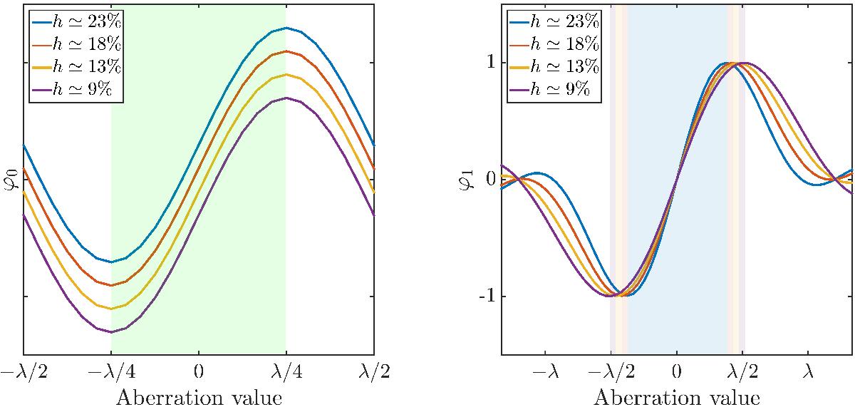
Fig. 3

image

Influence of the H-zone width (h given in percentage of the segment flat-to-flat distance) on the reachable capture range when considering piston only (left) and tip only (right). For piston only, otherwise superimposed, all curves have been arbitrary shifted with different offsets in the y-axis to disentangle them.

This figure is made of several images, please see below:

Current usage metrics show cumulative count of Article Views (full-text article views including HTML views, PDF and ePub downloads, according to the available data) and Abstracts Views on Vision4Press platform.

Data correspond to usage on the plateform after 2015. The current usage metrics is available 48-96 hours after online publication and is updated daily on week days.

Initial download of the metrics may take a while.