Free Access

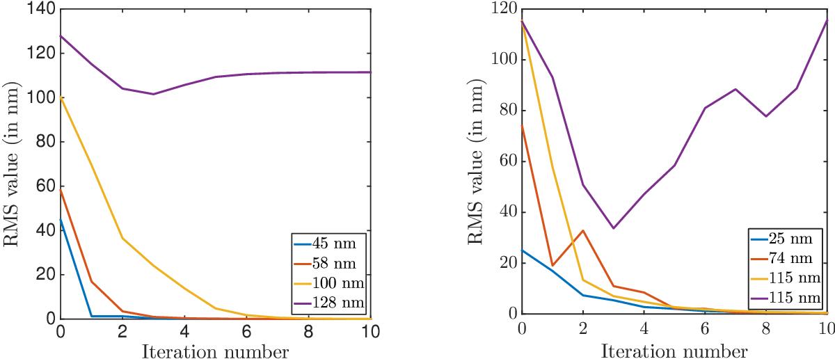
Fig. 6

image

Rms value evolution of the aberrations over the pupil as a function of the iteration number in the case of piston aberrations only (left) and for piston and tip-tilt (right). The starting rms values are given in the captions.

This figure is made of several images, please see below:

Current usage metrics show cumulative count of Article Views (full-text article views including HTML views, PDF and ePub downloads, according to the available data) and Abstracts Views on Vision4Press platform.

Data correspond to usage on the plateform after 2015. The current usage metrics is available 48-96 hours after online publication and is updated daily on week days.

Initial download of the metrics may take a while.