Free Access

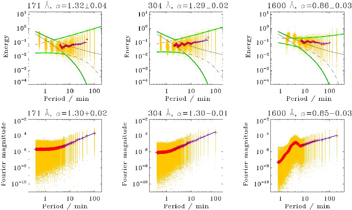
Fig. 4

image

Top panels: energy-period dependences of IMFs obtained with EMD of SDO/AIA data taken from the NOAA 11131 active region, ROI 1 from 00:00 to 03:20 UT, 8 December 2010. The spectral power and periods of individual IMF are shown by yellow dots. Total number of considered observational samples is 2500, containing 500 data points each. The 99% and 1% confidence intervals are shown with the black solid (white noise) and dashed (coloured noises) lines. The energy averaged over each period is indicated by the red crosses. Blue lines represent the empirical dependence of the mean modal energy upon the period, obtained with the linear fitting. Green lines show the general confidence interval for the superposition of the white and coloured noises. Bottom panels: Fourier spectral power-period dependences of the same data sets as shown in the top panels. The spectral power and periods of individual Fourier harmonics are shown by yellow dots. The red crosses indicate the mean Fourier spectra. The blue lines are the best linear fit showing the power-law-like regions of the spectra. Values of the power law index α with corresponding 1σ uncertainties are shown above each panel.

Current usage metrics show cumulative count of Article Views (full-text article views including HTML views, PDF and ePub downloads, according to the available data) and Abstracts Views on Vision4Press platform.

Data correspond to usage on the plateform after 2015. The current usage metrics is available 48-96 hours after online publication and is updated daily on week days.

Initial download of the metrics may take a while.