Free Access

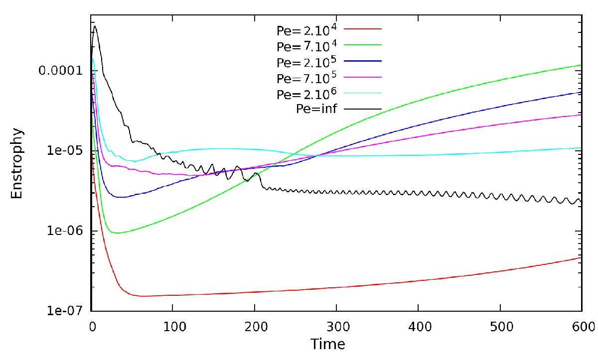
Fig. 8

image

Enstrophy as a function of time in a 2D stratified disk, in the case of heat diffusion and for different values of the Péclet number.

Current usage metrics show cumulative count of Article Views (full-text article views including HTML views, PDF and ePub downloads, according to the available data) and Abstracts Views on Vision4Press platform.

Data correspond to usage on the plateform after 2015. The current usage metrics is available 48-96 hours after online publication and is updated daily on week days.

Initial download of the metrics may take a while.