Free Access

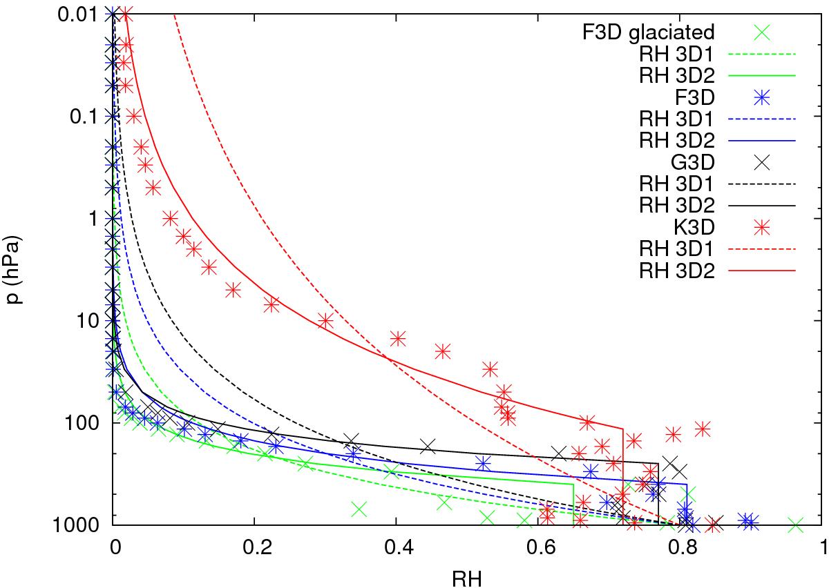
Fig. 5

image

Relative humidities from the 3D model results (symbols) for the four scenarios in Godolt et al. (2015) and their parameterizations RH 3D1 (dashed lines) and RH 3D2 (solid lines) as given in Eq. (4), which have been included in the 1D model calculations.

Current usage metrics show cumulative count of Article Views (full-text article views including HTML views, PDF and ePub downloads, according to the available data) and Abstracts Views on Vision4Press platform.

Data correspond to usage on the plateform after 2015. The current usage metrics is available 48-96 hours after online publication and is updated daily on week days.

Initial download of the metrics may take a while.