Free Access

Fig. 2

image

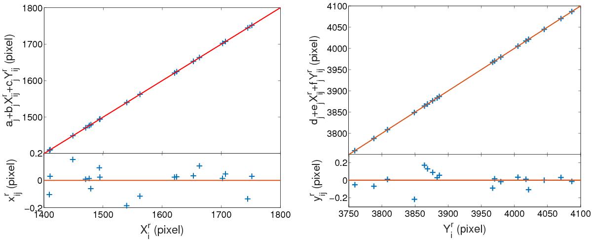
Example of the linear fitting to determine the transformation coefficient between the master frame and a given frame. The residuals of x and y are scattered around zero under the linear transformation; therefore, no higher order term is included in the current work.

This figure is made of several images, please see below:

Current usage metrics show cumulative count of Article Views (full-text article views including HTML views, PDF and ePub downloads, according to the available data) and Abstracts Views on Vision4Press platform.

Data correspond to usage on the plateform after 2015. The current usage metrics is available 48-96 hours after online publication and is updated daily on week days.

Initial download of the metrics may take a while.