Free Access

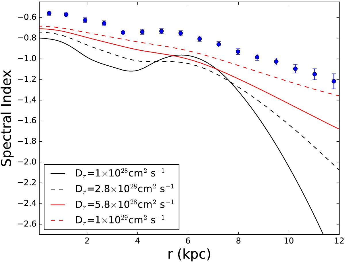
Fig. 13

image

Spectral index 1511400 MHz for different diffusion coefficients using the radial profile of magnetic field strength shown in Fig. 1. The observed spectral index between these frequencies is shown by the blue points with error bars.

Current usage metrics show cumulative count of Article Views (full-text article views including HTML views, PDF and ePub downloads, according to the available data) and Abstracts Views on Vision4Press platform.

Data correspond to usage on the plateform after 2015. The current usage metrics is available 48-96 hours after online publication and is updated daily on week days.

Initial download of the metrics may take a while.